环氧虫啉(epoxyloprin)是2008年由武汉工程大学与武汉中鑫化工有限公司(现和邦生物)研发的新型烟碱类杀虫剂,2019年内其专利权转让给了河北艾林。其结构与吡虫啉结构类似,不同点仅为环氧三元环对6-氯吡啶基的替换,环状结构使得环氧虫啉在环境中更易降解,对环境更友好,同时生测表明,环氧虫啉在防治褐飞虱 (1龄若虫)、苜蓿蚜虫、桃蚜等方面活性明显高于吡虫啉,环氧虫啉也是国内在烟碱类管线继氯噻啉之后开发的又一重要单品,但由于种种原因包括国内后续开发的环氧虫啶、哌虫啶、戊吡虫胍等一揽子烟碱类化合物,商业化之路并不顺利。

01
产品简介
英文名称:Epoxyloprin
中文名称:环氧虫啉
其他名称:环氧啉
化学名称:N-(1-(环氧乙烷-2-基甲基)-4,5-二氢-1H-咪唑-2-基)硝酰胺
分子式:C6H10N4O3
相对分子质量:186.169
CAS登录号:1185987-44-3
结构式:

理化性质:环氧虫啉为白色或淡黄色粉末固体、无味,熔点:149~150℃,可完全溶于二氯甲烷、氯仿,微溶于水以及乙醇。
02
作用机理
环氧虫啉是烟碱乙酰胆碱受体(nAChR)拮抗剂,区别于传统的烟碱类杀虫剂的激动剂,环氧虫啉直接阻断神经信号的传递。昆虫的神经系统因此无法发出任何指令,迅速陷入瘫痪和死亡。
03
应 用
应用作物:水稻、棉花、小麦、番茄、黄瓜、柑橘树、苹果树、茶树、番茄、木瓜、十字花科蔬菜等。
杀虫谱:蚜虫(包括苹果黄蚜、棉花蚜虫、甘蓝蚜虫)、稻飞虱(褐飞虱、白背飞虱)、叶蝉、介壳虫等;鳞翅目害虫:如稻纵卷叶螟、甜菜夜蛾、小菜蛾、菜青虫、棉铃虫等;缨翅目害虫:如蓟马。
开发剂型:10%环氧虫啉WP
04
专利情况
2008年,武汉工程大学申请了环氧虫啉的专利及其制备方法专利。
专利名称:1-(2,3-环氧丙基)-N-硝基亚咪唑烷-2-基胺及其制备方法和应用
申请号:CN200810236885.X
申请日:2008/12/17
失效日:2021/12/17
公开号:CN101503406A
初始申请人:武汉工程大学、武汉中鑫化工有限公司
摘要:本发明涉及1-(2,3-环氧丙基)-N-硝基亚咪唑烷-2-基胺,其结构式如下式上述化合物的制法,将乙二胺加入到反应容器中,在搅拌下向反应容器内滴加环氧氯丙烷,反应2-3h,冷却,蒸出乙腈即得环氧丙基乙二胺;取硝基胍和环氧丙基乙二胺溶于水中,在搅拌下滴加盐酸溶液,反应2-3h,冷却后萃取,脱溶即得粗品,重结晶得到产品;或者采用将N-硝基亚咪唑烷、碳酸钾及有机溶剂加入到反应容器中,加热至75-81.6℃,待N-硝基亚咪唑烷溶解后,向其中滴加环氧氯丙烷,滴加完毕,继续加热至反应完毕,待反应产物冷却后,过滤,滤液蒸干,所得残留物加水,再用二氯甲烷萃取,脱溶,得粗品,用丁酮重结晶得到产品。

制备专利
专利名称:(R)/(S)-1-(2,3-环氧丙基)-N-硝基亚咪唑烷-2-亚胺的制备方法
申请号:CN201410129046.3
申请日:2014/04/01
失效日:2017/03/29
公开号:CN103896927
摘要:本发明涉及一种(R)及(S)-1-(2,3-环氧丙基)-N-硝基亚咪唑烷-2-亚胺的制备方法,包括有以下步骤:1)将2-硝基亚氨基咪唑烷加入到烧瓶中,添加溶剂,搅拌溶解,再加入缚酸剂,油浴加温,搅拌;2)称取(S)-环氧氯丙烷或(R)-环氧氯丙烷,缓慢滴加,滴加完毕,反应,TLC监测反应完毕后,静置,冷却,过滤,滤饼用乙腈洗涤,得到滤液,通过减压旋蒸得到淡黄色固体,溶剂回收利用;3)将步骤2)所得粗产品中加水,萃取,合并有机相,减压旋蒸,得到固体以甲醇重结晶,过滤,得到白色固体,经干燥,柱层析分离提纯晶体,得到白色固体,再用甲醇重结晶。本发明的优点:制备工艺简单,无高温、高压等特殊要求。

06
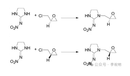
合成路线
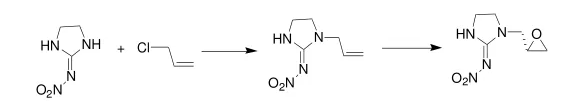
路线一:以3-氯丙烯与2-硝基亚氨基咪唑烷经氮烷基化反应生成环氧虫啉,合成路线如下:

路线二:由2-硝基亚氨基咪唑烷与环氧氯丙烷经氮烷基化反应一步生成环氧虫啉,合成路线如下:

3-氯丙烯价格较高,不适宜工业生产大量使用,而环氧氯丙烷价格便宜,且已工业生产化,2-硝基亚氨基咪唑烷的合成工艺已较为成熟,故目前工业化生产优先选择路线二。
07
复配推介
目前环氧虫啉目标推广方向为蚜虫,可复配吡蚜酮、氟啶虫酰胺、氟虫烟酰胺、嗪虫唑酰胺、s-氰戊菊酯、丁硫、双丙环虫酯、溴氰菊酯、螺虫乙酯等。
08
前景展望
环氧虫啉曾一度被″炒作″为继呋虫胺之后的″第四代″烟碱类杀虫剂,主要是在研发初期,宣称其″对蜜蜂低毒″,定位于区别其他烟碱类的″绿色农药″。基于该类主核结构及烟碱型乙酰胆碱受体调节剂普遍对蜜蜂等高毒,即便是后来的吡啶呋虫胺(也叫氟吡呋喃酮)和氟啶虫胺腈。因此笔者查询了环氧虫啶的毒性数据,但并未找到环氧虫啉对蜜蜂毒性(如半数致死剂量 LD50)的明确实验数据,因此笔者认为″低毒″的特性或只是基于产品宣传,缺乏公开的详细毒理学报告。同时,鉴于目前新型炫音器TRPV通道调节剂类杀虫剂的研发,以及烟碱类除了对蜜蜂高毒外还存在潜在生殖毒性等问题,烟碱类杀虫剂的丧钟早已敲响。因此即使环氧虫啉在中间体供应成熟,工艺合成、收率和环保性方面都取得了显著的进展的情况下,其商业化进程仍旧面临挑战。
