一、三氟咪啶酰胺的简介
通用名:三氟咪啶酰胺
英文名:fluazaindolizine
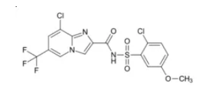
中文化学名称:8-氯-N-[(2-氯-5-甲氧基苯基)磺酰基]-6-(三氟甲基)咪唑[1,2-a]吡啶-2-甲酰胺
分子式:C16H10Cl2F3N3O4S
相对分子质量:468.24
CAS号:1254304-22-7
结构式:

理化性质 :三氟咪啶酰胺原药为白色固体,无特殊气味,熔点218.5℃,于260℃分解。其相对密度为(1.6818±0.1079)g/mL(20℃),解离常数为5.60±0.07。在有机溶剂中的溶解度(20℃):乙腈中为35.05g/L,甲醇中为3.47g/L,丙酮中为99.76g/L,乙酸乙酯中为27.62g/L,1,2-二氯乙烷中为19.29g/L。土壤吸附系数Kfoc为128(平均值),土壤中降解半衰期DT50约为35d。
毒性:三氟咪啶酰胺低毒,雌大鼠经口LD50为3129 mg/kg bw,雌、雄大鼠急性经皮LD50>5000 mg/kg,雌、雄大鼠急性吸入LC50>5.8mg/L。其对眼睛刺激性小,对皮肤无刺激性,也无致敏作用。
二、作用机制
三氟咪啶酰胺的作用机理目前尚未完全明确,但已知其能使线虫瘫痪(或麻痹),继而致其死亡。试验表明,它对现有杀线虫剂的作用靶标位点均无活性,同时对非靶标线虫相对安全,推测其具有全新的作用机理。国际杀虫剂抗性行动委员会(IRAC)将其归入N-UN组(作用机理未知)。
三、合成路线
方法一:以中间体一与中间体二为原料,以1,2-二氯乙烷为溶剂,加入缩合催化剂三甲基硅醇钾,在微波加热方式下发生缩合反应,可直接合成最终产物三氟咪啶酰胺。合成路线如图1所示。

图1 三氟咪啶酰胺的合成方法一
方法二:以中间体二为原料,在氯化亚砜作用下先进性氯化反应生成化合物1-13,然后化合物1-13与中间体一在三乙胺的作用下发生酰胺化反应,最终合成产物三氟咪啶酰胺。合成路线如图2所示。

图2 三氟咪啶酰胺的合成方法二
四、应用
三氟咪啶酰胺防治谱较广,适用作物较多。其对胞囊线虫、茎线虫、根结线虫、滑刃线虫、粒线虫、短体线虫、肾形线虫、剑线虫、螺旋线虫等均具有很好的防效,从而保护了作物根系,提高了作物产量和品质。其可用于葡萄、柑橘、桃、核果、番茄、南瓜、茄子、葫芦、马铃薯、大豆,以及其他大田作物等,也可用于草坪、烟草。三氟咪啶酰胺施用方式灵活,滴灌、喷雾、土壤施用均可。施药方式不同,用药量也不同,其有效成分用药量通常在0.25~2 kg/hm2。
五、三氟咪啶酰胺的登记情况
三氟咪啶酰胺是由杜邦(现科迪华)历时10余年成功研发的首款杀线虫剂,是新型磺酰胺类(或吡啶并咪唑酰胺类)非熏蒸性杀线虫剂,防治植物寄生性线虫。该产品现已在澳大利亚、加拿大、印度、美国等国取得登记,其市场将覆盖北美、欧洲、亚太等地区。
1、中国登记情况
三氟咪啶酰胺在中国登记产品2个,其中原药2个。具体情况见下表。

*数据来源于中国农药信息网,数据日期截止于2026年3月4日。
2、美国登记情况
三氟咪啶酰胺在美国共登记3个产品。其中原药1个,单剂2个。三氟咪啶酰胺主要登记在番茄、茄子、南瓜、马铃薯、胡萝卜、芋头、柑橘、桃、杏、杏仁、葡萄等作物上,用于防治多种植物寄生性线虫,包括根结线虫、胞囊线虫、短体(根腐)线虫、肾形线虫、剑线虫、螺旋线虫等。具体情况见下表。

*数据来源于美国EPA数据库,数据日期截止于2026年3月4日。
3、加拿大登记情况
三氟咪啶酰胺在加拿大共登记产品2个,其中,原药1个,单剂1个。主要登记在块茎和球茎蔬菜、葫芦科蔬菜、果用蔬菜等作物上防治根结线虫。具体情况见下表。

*数据来源于加拿大健康部农药登记数据库,数据日期截止于2026年3月4日。
4、澳大利亚登记情况
三氟咪啶酰胺在澳大利亚共登记产品2个,主要登记在根茎和块茎蔬菜、葫芦、果蔬等作物上防治根结线虫。具体情况见下表。

*登录澳大利亚农药与兽药管理部数据库,数据日期截止于2026年3月4日。
AgroPages世界农化网最新出版的″2026 China Pesticide Industry Watch″杂志
欢迎下载阅读

|
获取纸质版/推广合作:单东丽 电话/微信:18705817985 邮箱:mickey@agropages.com |
![]() |

