来源:《精细化工中间体》2026,56(01)
原标题:3′,4′,5′-三氟-2-硝基联苯合成研究进展
作者:周建波;罗先福;王燕; 干兴利;刘欢;黄炜(1.湖南化工研究院有限公司国家农药创制工程技术研究中心 2.农用化学品湖南省重点实验室)
3′,4′,5′-三氟-2-硝基联苯(3′,4′,5′-trifluoro-2-nitrobiphenyl),分子式C12H6F3NO2, CAS号1056196-56-5,是合成杀菌剂氟唑菌酰胺的重要中间体(化学结构式见图1)。氟唑菌酰胺是德国巴斯夫公司开发的高选择性SDHI类杀菌剂,自2011年在英国首次登记上市以来,已在全球包括澳大利亚、美国、欧盟国家、巴西和中国等50多个国家获得应用,对谷物、大豆、玉米、油菜及果蔬等100多种作物的真菌病害防治效果显著。其独特的结构和作用方式,成为近年来发展迅速的优异杀菌剂。

图1 3′,4′,5′-三氟-2-硝基联苯及氟唑菌酰胺的化学结构式
随着氟唑菌酰胺在全球农业市场的迅速扩张,其关键中间体3′,4′,5′-三氟-2-硝基联苯的高效、经济、绿色合成日益成为学术界与工业界关注的焦点。当前该化合物的合成路线主要包括Suzuki偶联法、脱酸偶联法及Diels-Alder环化法。目前工业应用中具有代表性的是Suzuki偶联法,该工艺以卤代芳烃和芳基硼酸为起始原料,通过过渡金属催化交叉偶联制备目标产物。然而,由于反应需使用价格昂贵的钯催化剂且用量较大,合成成本居高不下。针对这一技术瓶颈,近年来的研究重点聚焦于催化体系的优化,开发高效配体,在保证偶联效率的同时显著降低催化剂用量。
1、3′,4′,5′-三氟-2-硝基联苯的合成方法
3′,4′,5′-三氟-2-硝基联苯的合成方法如图2所示。相较于其他路线,Suzuki偶联法凭借其反应条件温和、区域选择性可控以及官能团兼容性强等优势,成为构建该硝基联苯骨架的首选策略。

图2 3′,4′,5′-三氟-2-硝基联苯的合成方法
1.1 Suzuki偶联法
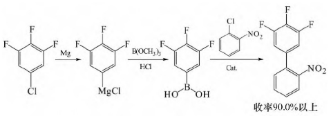
Suzuki偶联反应作为构建碳-碳键的高效工具,是目前合成3′,4′,5′-三氟-2-硝基联苯应用最广泛的方法。其核心反应是以邻氯硝基苯与3,4,5-三氟苯硼酸在钯催化剂作用下进行交叉偶联,一步形成目标联苯结构。该方法中的3,4,5-三氟苯硼酸通常需要由卤代苯经格氏试剂、硼酸酯和水解合成,最后经Suzuki偶联制得3′,4′,5′-三氟-2-硝基联苯。反应路线如图3所示。

图3 Suzuki偶联反应合成路线
卤代芳烃(简写为R-X,R为芳基,X为卤素)的反应活性遵循R-I > R-Br > R-Cl > R-F的顺序。一般认为氟代芳烃不具备反应活性,但氯代芳烃(R-Cl)因原料易得、成本低廉,许多研究一直致力于以芳基氯化物为底物的产物合成。
1.2 脱酸偶联法
张照军等以邻硝基苯甲酸和3,4,5-三氟溴苯为原料,通过脱羧偶联得到3′,4′,5′-三氟-2-硝基联苯,收率80.0%~90.0%。反应路线如图4所示。

图4 脱酸偶联法合成路线
此方法采用了昂贵的催化剂二(乙酰丙酮)钯,催化剂使用量大,导致总成本很高,且需要在190℃反应22h,不适用于工业化生产。
1.3 Diels-Alder环化法
KORTE等以3,4,5-三氟溴苯为起始原料,经硝基甲烷缩合、Diels-Alder环化、溴代及芳构化四步反应合成3′,4′,5′-三氟-2-硝基联苯,最终总收率仅为50.7%。该路线存在显著缺陷:关键步骤需使用高危试剂正丁基锂,放大生产存在安全隐患;芳构化阶段需剧烈条件(浓硫酸140℃);多步中间体纯化造成物料损失严重。反应路线如图5所示。

图5 Diels-Alder法合成路线
基于上述路线的优化,赵东江等通过优化反应路径,采用预功能化的1-硝基-2-(3,4,5-三氟苯基)乙烯与1,3-丁二烯进行Diels-Alder环化,收率提升至91.0%,反应路线如图6所示。然而其工业化可行性仍受限于:关键原料需经3步合成(总收率62.0%),不易得;MnO₂氧化剂产生含锰废渣,环境负荷显著。

图6 Diels-Alder法合成路线2
1.4 3′,4′,5′-三氟-2-硝基联苯合成方法对比
表1综合总结了Suzuki偶联法、脱酸偶联法及Diels-Alder环化法在原料可得性、工艺缺陷、经济性和安全性的情况。相比之下,Suzuki偶联法凭借其反应条件相对温和、区域选择性好、官能团兼容性强以及原料(邻氯硝基苯、3,4,5-三氟苯硼酸)相对易得等显著优势,为目前最具工业化前景和研究价值的合成路径。而脱酸偶联法则因依赖昂贵钯催化剂、高温、反应时间长而经济性较差。Diels-Alder环化法则受限于原料获取难度、高危试剂使用、苛刻反应条件或严重的环境问题,不适用于工业化。
表1 三种合成方法对比表

2、基于Suzuki偶联催化体系合成3′,4′,5′-三氟-2-硝基联苯
虽然工业合成主要采用邻氯硝基苯与3,4,5-三氟苯硼酸在钯催化下的Suzuki偶联工艺,但贵金属催化剂的高成本严重制约了生产经济性,有必要选择合适的催化体系,降低成本。为此,本文进一步从均相催化体系、非均相催化体系以及其他催化体系对Suzuki偶联催化体系进行评述。
2.1 均相催化剂
最早、最经典的均相催化剂是Pd(PPh₃)₄等单一类型的过渡金属催化剂,活性高,应用广泛,但对空气敏感,而常用的均相催化剂是钯加膦配体。即使用钯(II)盐(如Pd(OAc)₂)或钯(0)前体(如Pd₂(dba)₂),在反应中原位还原为活性钯(0),并加入膦配体(如PPh₃、PbU₃、PCy₃、SPhos、XPhos等)来稳定活性中心、调节活性和选择性。
2015年,胡南以三氟溴苯和镁屑为原料,THF为溶剂,碘引发,30℃反应3h制得格氏试剂,转化率96.5%。然后格氏试剂与硼酸三甲酯在-5℃反应2~3h,THF为溶剂,盐酸酸解,合成3,4,5-三氟苯硼酸,收率91.1%。最后三氟苯硼酸与邻氯硝基苯为底物,氢氧化钠为碱,在THF/H₂O混合溶剂中经回流反应,反应过程通过点板分析进行监测,直到原料反应完全,再通过异丁醇重结晶得3′,4′,5′-三氟-2-硝基联苯,收率95.0%。反应路线如图7所示。

图7 PdCl₂和TPP催化体系
该方法原料成本可控,起始原料三氟溴苯、邻氯硝基苯为大宗化学品,价格较低;THF溶剂可回收套用。不足之处主要为催化剂成本较高。
2020年,尹凯等以1,2,3-三氯苯为起始原料,在170~180℃下,经KF氟化,反应得1,2,3-三氟苯(收率80.0%);在15℃下经NaH₂PO₄、NaClO和NaBr的水溶液体系溴化得3,4,5-三氟溴苯(收率94.5%);再经格氏反应制得3,4,5-三氟苯硼酸(收率82.6%);最后在甲苯/水两相体系中,以邻硝基苯和3,4,5-三氟苯硼酸为原料,碳酸钾为碱,在0.035%的Pd(acac)₂催化下,经85℃氮气保护回流3h,反应后经分层、甲苯萃取、减压蒸馏纯化得3′,4′,5′-三氟-2-硝基联苯,收率91.1%。反应路线如图8所示。

图8 Pd(acac)₂催化体系
该方法原料廉价易得,催化剂用量少(如Pd负载仅为0.035%),溶剂可回收,避免危险工艺,三废少;但含氟中间体处理需专业设施。
2020年,罗爱香等以1,2,3-三氟苯为起始原料,经氟化-溴化-格氏得3,4,5-三氟苯硼酸,3,4,5-三氟苯硼酸再与邻氯硝基苯在甲苯/水混合溶剂中,以0.15%的Pd(PPh₃)₄和0.1%的PCy₃·HBF₄组成催化体系,以氢氧化钠为碱,85℃回流反应得3′,4′,5′-三氟-2-硝基联苯,收率91.0%。反应路线如图9所示。该方法溶剂回收与含盐废水处理需配套设施,综合成本高。

图9 Pd(PPh₃)₄和PCy₃·HBF₄催化体系
李振华等则以3,4,5-三氟溴苯为起始原料,在N₂保护下,镁屑与3,4,5-三氟溴苯在四氢呋喃中,1,2-二溴乙烷引发下,20℃反应生成格氏试剂;再滴加硼酸三甲酯于-30℃硼酸化,稀盐酸淬灭后萃取,得3,4,5-三氟苯硼酸,收率82.0%;再将0.13mol 3,4,5-三氟苯硼酸与0.10mol邻氯硝基苯溶于甲苯/异丙醇/水中,加入15%的TBAB、K₃PO₄作碱、0.02%的Pd(PPh₃)₄和0.04%的PCy₃·HBF₄作为催化体系,在90~100℃反应17h。反应液经萃取、异丁醇重结晶得3′,4′,5′-三氟-2-硝基联苯,收率93.0%。反应路线如图10所示。该方法混合溶剂体系(甲苯/异丙醇/水)后处理能耗高。

图10 Pd(PPh₃)₄和PCy₃·HBF₄催化体系
2018年,XU等以3,4,5-三氟苯硼酸和邻氯硝基苯为底物,碳酸钾作碱,Pd(OAc)₂和AntPhos作催化,且催化剂用量极低,催化体系为0.0054%的Pd(OAc)₂和0.0054%的4-(9-蒽基)-3-(叔丁基)-2,3-二氢苯并[D]氧、麟戊轭膦(AntPhos)配体。甲苯/水/四氢呋喃混合作溶剂,在110℃中反应6h加水萃取,分离有机相得3′,4′,5′-三氟-2-硝基联苯,收率95.4%。反应路线如图11所示。

图11 Pd(OAc)₂和AntPhos催化体系
该方法超低钯用量,其次溶剂选择甲苯为主(占75.0%~90.0%),沸点适中易回收;三元体系将产物富集在甲苯相,简单分液即可分离,比传统水溶性溶剂后处理更简便。不过THF和水需要额外处理,三废总量大,且配体合成需要9步反应,成本较高。
2023年,周勇等以邻氯硝基苯和3,4,5-三氟苯硼酸化合物作原料,将0.0053%的Pd(OAc)₂与0.0054%的1,1′-双(二叔丁基膦)二茂铁配体制备成催化剂溶液,碳酸钾作碱,在四氢呋喃和水混合下,经90℃下反应2h,催化偶联得3′,4′,5′-三氟-2-硝基联苯,收率98.0%(以邻氯硝基苯计)。反应路线如图12所示。

图12 Pd(OAc)₂和1,1′-双(二叔丁基膦)二茂铁催化体系
该方法配体成本低、合成更简易(两步合成),综合经济性更优,尤其适合多氟取代联苯(如杀菌剂中间体)的大规模生产,为工业化生产高价值硝基联苯中间体提供了原子经济性解决方案。
2023年,T·绍布等以邻氯硝基苯和3,4,5-三氟苯硼酸为原料,碳酸钠为碱,0.005%的Pd(OAc)₂和叔丁基环己基膦配体(PbCuCy₂)为催化剂体系,以水作溶剂,100℃下反应3h,反应结束后,混合物经盐水稀释、乙酸乙酯萃取干燥及柱层析纯化,得3′,4′,5′-三氟-2-硝基联苯,收率91.0%。反应路线如图13所示。

图13 Pd(OAc)₂和叔丁基环己基膦催化体系
该方法通过烷基膦配体,以及其超低负载量和纯水相反应设计,实现了芳基氯化物的高效Suzuki偶联,解决了高成本、高污染、低选择性等产业难题,在农化中间体合成中具有显著竞争优势。纯水溶剂体系避免有机溶剂(如四氢呋喃、丁醇)的使用,免除废水中有机物处理负担。极低钯残留允许催化剂直接废弃,无需复杂回收工艺。但配体PbCuY₂成本较高,影响整体经济性。
2022年,席真等将0.01%~0.05%的PdCl₂与0.03%~0.39%的双联苯膦配体(SPhos或XPhos)在正丁醇和水中预混搅拌15~30min,预制成活性钯催化剂体系,以邻氯苯胺、3,4,5-三氟苯硼酸为原料,以碳酸钾为碱,正丁醇和水混合体系作为溶剂,在95~100℃反应5~16h,然后冷却分层,有机相用乙酸乙酯萃取,盐水洗涤,干燥浓缩后柱色谱纯化得联苯化合物,收率92.0%~95.0%。该方法虽是合成2-氨基联苯类化合物,但也为3′,4′,5′-三氟-2-硝基联苯的合成提供了合适的催化体系选择。
2.2 非均相催化剂
最常用的非均相Suzuki催化剂,钯负载在活性炭上,价格相对低廉,易于获取。
2020年,ZHANG等采用0.5%的Pd/rGO-60作催化剂,钯源为醋酸钯,以3,4,5-三氟苯硼酸与邻氯硝基苯为反应物,添加TBAB作为相转移催化剂,磷酸钾为碱,在乙醇和水混合下,100℃微波加热下反应5h得3′,4′,5′-三氟-2-硝基联苯,克级收率85.1%。反应路线如图14所示。其中还原氧化石墨烯(rGO)合成采用Hummers法氧化天然石墨粉,经硫酸、高锰酸钾氧化后,用双氧水还原,离心洗涤至中性,干燥得GO。Pd/rGO复合催化剂则是将GO分散于NaOH水溶液中,加入0.10mol/L SDS溶液,超声1h后加入醋酸钯,在30、60、110℃搅拌4h。洗涤干燥后得Pd/rGO-30/60/110系列催化剂。该方法通过微波辅助加Pd/rGO的催化体系实现了芳基氯的高效、绿色偶联,原料成本低、溶剂环保、催化剂可循环,但载体成本与微波工艺放大仍需优化。

图14 Pd/rGO-60催化体系
2024年,王言智等通过非均相Pd/C催化剂结合膦配体(如2-二环己基膦-2-(N,N-二甲胺)-联苯DavePhos)在单一反应器中连续完成Suzuki偶联和氢化还原反应。以3,4,5-三氟苯硼酸与等物质的量的邻氯硝基苯为原料,在水溶性混合溶剂(如50%乙腈水溶液)中,10% Pd/C(含0.2%钯)和0.3%的膦配体DavePhos作催化体系,碳酸钾作碱,加热至回流(约82℃)反应2h完成Suzuki偶联反应,生成3′,4′,5′-三氟-2-硝基联苯中间体,随后无需分离直接通入氢气将硝基还原为氨基。再经过滤、浓缩、二氯甲烷萃取得3′,4′,5′-三氟-2-胺基联苯,定量收率96.0%。反应路线如图15所示。

图15 Pd/C和DavePhos催化体系
该方法利用非均相Pd/C催化剂同时驱动偶联与还原两步反应,避免了中间体纯化步骤,且催化剂可回收套用,显著降低了工艺成本与操作复杂性,为硝基联苯类化合物的工业化合成提供了新策略。
张昉等将邻硝基氯苯与3,4,5-三氟苯硼酸溶于乙二醇中,加入5%的Pd/C作催化剂,碳酸钾作碱,乙二醇作溶剂,微波100℃反应1.5h,反应结束后离心移除催化剂,以乙酸乙酯萃取有机相,经硅胶柱层析(石油醚/乙酸乙酯洗脱)纯化,得3′,4′,5′-三氟-2-硝基联苯,收率90.0%。反应路线如图16所示。该方法通过微波选择性加热与石墨烯载体协同效应,显著提升反应效率,且避免使用昂贵溴代试剂。

图16 Pd/C催化体系
2014年,叶振君等采用分子筛负载钯催化剂(Ms-Pd)催化Suzuki偶联。将3,4,5-三氟苯硼酸与邻氯硝基苯溶于甲醇中,加入质量分数为0.5%的Ms-Pd作催化剂,NaHCO₃作碱,在40℃搅拌反应(通过HPLC监测终点)。反应结束后经水洗(至pH=3-6)、乙酸乙酯萃取、减压浓缩,正己烷重结晶得3′,4′,5′-三氟-2-硝基联苯,收率90.0%。反应路线如图17所示。其中催化剂制备是将PdCl₂与80-100目4A分子筛在丙酮中搅拌≥48h,抽滤烘干得白色Ms-Pd粉末。

图17 Ms-Pd催化体系2.3 其他催化剂体系
刘玉超等使用一种无过渡金属催化剂合成3′,4′,5′-三氟-2-硝基联苯。以3,4,5-三氟苯硼酸与邻氯硝基苯为原料,碳酸钾为碱,甲苯为溶剂,质量分数为10%四丁基溴化铵或者18-冠醚-6作相转移催化剂,经10%的胺基催化剂催化偶联后,再经水洗、干燥、抽滤脱溶得粗产品,经柱层析纯化后得3′,4′,5′-三氟-2-硝基联苯,其中以苯胺、吡啶、2-甲基吡啶、2,6-二甲基吡啶为胺基催化剂时,收率分别为92.0%,90.0%,90.0%和93.0%。反应路线如图18所示。

图18 非过渡金属催化剂
2.4 Suzuki偶联合成3′,4′,5′-三氟-2-硝基联苯的催化体系对比
表2为Suzuki偶联合成3′,4′,5′-三氟-2-硝基联苯的催化体系对比详情,在合成3′,4′,5′-三氟-2-硝基联苯的Suzuki偶联工艺发展中,催化体系的核心突破体现为钯负载量的大幅降低(从传统的1.0%降至0.005%级别)、溶剂环保性优化(纯水相体系消除有机溶剂,三元溶剂实现高效分离,低磷配体减少污染),以及工艺创新与经济性提升。然而,超低钯体系仍依赖高价配体(如AntPhos、PtBuCy₂)的成本瓶颈,以及非均相催化剂(如Pd/rGO)的载体合成与回收难题,成为未来突破需聚焦的方向。
表2 各种催化体系对比表

3、结语与展望
3′,4′,5′-三氟-2-硝基联苯作为杀菌剂氟唑菌酰胺的重要中间体,其高效、经济、绿色的合成工艺具有重要的产业价值。本文系统综述了该化合物的主要合成方法及催化体系研究进展。在合成路线方面,Suzuki偶联法凭借其温和的反应条件、优异的区域选择性和官能团兼容性,以及易得的原料(邻氯硝基苯、3,4,5-三氟苯硼酸),展现出突出的工业化前景和研究价值。
针对Suzuki偶联法面临的核心挑战——贵金属钯催化剂成本高,研究重点聚焦于催化体系的深度优化:通过开发高效配体(如AntPhos、1,1′-双(二叔丁基膦)二茂铁、叔丁基环己基膦PtBuCy₂等),实现了钯催化剂用量的显著降低。Pd/C结合特定膦配体甚至被用于″一锅法″连续进行Suzuki偶联和硝基还原,展示了连续化的潜力。然而,载体成本、催化剂长期稳定性与循环性能、活性位点利用效率仍需进一步改善。
未来,3′,4′,5′-三氟-2-硝基联苯合成研究将围绕以下方向持续推进:继续开发兼具超高活性、优异选择性及空气/水稳定性的新型膦配体,实现钯用量进一步的降低,从根本上解决成本瓶颈。设计高活性、高稳定性、易分离且可多次循环使用的负载型催化剂,发展高效、低成本的催化剂回收再生技术,是提升非均相体系经济性的关键。

