您的位置 首页 新闻时讯

还在死磕褐藻?红藻生物刺激素,或是你作物增产的下一个风口!

还在死磕褐藻?红藻生物刺激素,或是你作物增产的下一个风口!

提到海藻肥,大家首先想到的是海带、泡叶藻等褐藻。确实,褐藻市场成熟,但随着使用普及,增产的″天花板″也隐约可见。

当行业陷入同质化竞争时,一个更深、更具潜力的新领域——红藻,正悄然掀起农业变革。红藻是海洋中分布最深、种类最多的藻类之一(约有 4,000-6,000 种)。

深海环境:由于含有丰富的藻红素,红藻能吸收穿透力最强的青蓝光,因此它们可以在深达 200-250 米 的海域生存,远深于绿藻和褐藻。

潮间带与近岸:大多数红藻固着在低潮线以下的岩石、石缝或石礁上。它演化出了独一无二的防御与调节机制。今天,我们就带您跳出固有认知,解读红藻生物刺激素。

01

什么是红藻生物刺激素?

红藻生物刺激素是指从红藻门(如麒麟菜、江蓠、角叉菜等)中提取的生理活性物质。

它不靠大量堆砌 NPK 养分,而是通过极小剂量的施用,像″开关″一样刺激植物自身的生理代谢,从而实现:

  • 提高营养吸收效率

  • 增强作物抗逆性

  • 显著改善作物品质

02

红藻 vs 褐藻:不仅是颜色的区别 

很多农业人认为红藻只是″另一种海藻″,其实两者在生物界级、结构单元上有着本质不同:

1. 家族谱系不同(跨界的差异)

褐藻属于色藻界,红藻属于植物界。

专家视角:由于进化路径完全不同,红藻积累的活性物质与褐藻截然不同。

以泡叶藻和麒麟菜为例,进行对比:

还在死磕褐藻?红藻生物刺激素,或是你作物增产的下一个风口!

还在死磕褐藻?红藻生物刺激素,或是你作物增产的下一个风口!

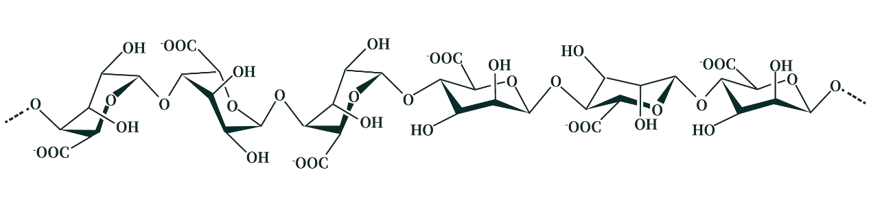
2. 活性物质结构单元不同

红藻:结构单元是半乳糖及其衍生物。

还在死磕褐藻?红藻生物刺激素,或是你作物增产的下一个风口!

红藻多糖(寡糖)结构单元

褐藻:结构单元是甘露糖醛酸和古罗糖醛酸(即海藻酸类)。

还在死磕褐藻?红藻生物刺激素,或是你作物增产的下一个风口!

褐藻多糖(寡糖)结构单元

03

半乳糖:红藻赋予作物的″神奇钥匙″

红藻富含的硫酸酯半乳糖不仅是能量物质,更是参与植物构建与信号调控的关键分子:

还在死磕褐藻?红藻生物刺激素,或是你作物增产的下一个风口!

04

全球应用:红藻如何赋能现代农业?

在全球科研体系中,红藻生物刺激素已被公认为高效的″植物生长促进剂(CPGP)″和″广谱抗逆诱导剂″:

  • 植物的″疫苗″:红藻多糖是天然激发子,能激活植物的水杨酸(SA)和茉莉酸(JA)信号通路,诱导防御基因表达,增强对病原菌的抵抗力。 

  • 植物的″防护服″:通过调节渗透平衡,提高 SOD 和 POD 活性,帮助作物在低温、干旱环境下保持细胞膜完整。

  • 植物的″助推器″:具有类生长素活性,能显著增加根系生物量,让作物吃得更多、长得更快。

  • 果实的″美颜相机″:促进碳水化合物转化,增加糖分和花青素;其成膜特性还能减少水分流失,延长货架。

05

领航红藻新赛道:浙江上方生物

当大多数人还在探索阶段时,浙江上方生物科技有限公司(创立于 1996 年)已在红藻领域深耕三十年。

硬核实力:原料精选菲律宾、印度尼西亚、坦桑尼亚和智利洁净海域的红藻,每年消耗干红藻超 10 万吨,年产值突破 50 亿元。

全球布局:总部位于上海,在上海、新加坡设有研发中心,拥有上海、浙江、宁夏、印尼四大生产基地。

还在死磕褐藻?红藻生物刺激素,或是你作物增产的下一个风口!

印尼红藻晒场、研发生产等场景:

还在死磕褐藻?红藻生物刺激素,或是你作物增产的下一个风口!

品核心矩阵:

还在死磕褐藻?红藻生物刺激素,或是你作物增产的下一个风口!

还在死磕褐藻?红藻生物刺激素,或是你作物增产的下一个风口!

作者:杨芳,高级农艺师,邮箱:yangfang20061224@outlook.com

文献:


【1】Vera, J., et al. (2011). Oligocarrageenans elicit a long-lasting resistance against tobacco mosaic virus and Pectobacterium carotovorum and stimulate growth. Plant Physiology and Biochemistry. 

【2】Zou, P., et al. (2015). The effects of low molecular weight polysaccharides on the growth and antioxidant system of rice seedlings under cadmium stress. Environmental Science and Pollution Research. 

【3】Castro, J., et al. (2020). Biostimulant effect of carrageenan-derived oligosaccharides on rice growth and nitrogen metabolism. Journal of Plant Growth Regulation. 

【4】赵素芬等(2009).长心卡帕藻 2 个养殖品系的营养成分分析上海海洋大学学报

热门文章

发表回复

您的邮箱地址不会被公开。 必填项已用 * 标注