环氟菌胺(cyflufenamid)是日本曹达1995年研发的新型苯乙酰胺类杀菌剂,环氟菌胺具有新颖的化学结构和独特的作用机理,母核结构为新颖的苯甲酰胺肟,赋予了化合物独特的作用机理,苯环上取代基,以及肟醚部分和酰胺侧链都进行了取代基的优化,赋予了化合物合理的选择性,靶标结合能力,和代谢稳定性。应用表明环氟菌胺具有优异的保护和治疗活性、并且可以保持较长的持效期,具有熏蒸活性,和耐雨水冲刷活性,但在植物体内的移动活性则比较差。近期,日本曹达在国内推出了含环氟菌胺成分的制剂产品,用于防治花卉、草莓等高附加值作物的白粉病,因而这个早已过专利期的成分又引起了行业的关注。
01
产品简介
英文名称:cyflufenamid
中国名称:环氟菌胺
化学名称:(Z)-N-(((环丙基甲氧基)亚氨基)(2,3-二氟-6-(三氟甲基)苯基)甲基)-2-苯基乙酰胺
分子式:C20H17F5N2O2
相对分子质量:412.353
CAS登录号:180409-60-3
结构式:

理化性质:原药为白色固体,带有轻微的芳香气味。熔点:61.5–62.5 °C,沸点:256.8 °C,蒸汽压:3.54 × 10-2 mPa (20 °C),正辛醇水分配系数:Kow logP = 4.70 (pH 6.75, 25 °C) ,亨利常数:2.81 × 10-2 Pa m3 mol-1 (20 °C) ,密度:1.347 (20 °C) ;溶解度:水0.014 (pH 4),0.52 (pH 6.5),0.12 (pH 10) ( mg/l, 20 °C),二氯甲烷902, 丙酮920,二甲苯658,乙腈943, 甲醇653,乙醇500,乙酸乙酯808,正己烷18.6,正庚烷15.7 ( g/L, 20 °C);稳定性pH 4或7,DT50 =288 d (pH 9),水中光解半衰期DT50=594 d,解离常数12.08。
02
作用机理
目前环氟菌胺的具体作用机制并未报到,环氟菌胺主要通过抑制白粉病菌的吸器形成和生长、次生菌丝的生长以及附着器的形成来阻止病害发展,但对孢子的萌发没有直接影响。
有报道称将纺锤体装配检查点蛋白MAD1识别为环氟菌胺的候选作用靶点,所以笔者推测其作用机理可能是抑制真菌的有丝分裂。
03
应用
应用作物:谷物如小麦、大麦、玉米,茄果类如草莓、蓝莓,葫芦科如西葫芦,瓜类如黄瓜、西瓜,茄属类如烟草、辣椒、茄子、西红柿,观赏作物如玫瑰、月季,树如梨树、桃树、杨树。
防治病害:白粉病、叶斑病、黑星病、恶苗病、霜霉病、褐斑病等。
开发剂型:10%环氟菌胺SC、50g/L环氟菌胺EC、40%环氟菌胺WDG
实验表明:10%环氟菌胺悬浮剂180mL/hm2、225mL/hm2、300mL/hm2、450mL/hm2药剂处理 ,即处理1、2、3、4,防效分别达到了70.51%、82.77%、96.22%、96.66%,且随着10%环氟菌胺悬浮剂用药量的增加,防治效果逐渐提高。但在 10%环氟菌胺悬浮剂用量超过300mL/hm2时,防效提升不再明显,从药效及成本考虑,建议使用10%环氟菌胺悬浮剂剂量300mL/hm2于发病初期进行防治,间隔 7d~10d 喷施一次,连续喷施3次~4次。

04
登记情况
中国登记
目前中国仅日本曹达和江苏龙灯有登记,曹达登记环氟菌胺原药,龙灯登记环氟菌胺和戊唑醇的复配制剂,登记为小麦、黄瓜白粉病。

日本登记
日本登记环氟菌胺单剂,以及环氟菌胺和氟菌唑的复配制剂,登记剂型有悬浮剂和烟剂。


美国登记
美国登记环氟菌胺98.9%原药和10%环氟菌胺悬浮剂,用于梨果、葫芦、葡萄、草莓和观赏植物上。

05
专利情况
化合物专利
2005年日本曹达相继在中国,日本,丹麦等23个国家和地区申请了基于环氟菌胺在内的苄胺肟衍生物化合物专利。

专利名称:ベンズアミドオキシム誘導体、その製法及び農園芸用殺菌剤
申请号:JP19960519662
申请日:1995/12/18
失效日:2015/11/17
公开号:JP3881692B2
摘要:本发明涉及由式äiü;表示的苯甲酰胺肟衍生物,其中r为未经取代或经取代的c1-c4烷基、未经取代或经取代的c2-c4烯基或未经取代或经取代的c2-c4炔基,r是任选地具有取代基的苯基或任选地具有取代基的杂环,x、x、x和x各自独立地是氢、卤素、c1-c4烷基、c1-c4卤代烷基、c1-c4烷氧基、c1-c4卤代烷氧基、c1-c4烷基硫基等,并且r1和r2各自独立地是氢、c1-c4烷基等,具有优良的杀菌活性并可用作农业和园艺用途的杀菌剂,及其制备方法。
中间体制备专利(2,3-二氟-6-三氟甲基苯甲酰胺)
1999年日本曹达申请了基于环氟菌胺中间体2,3-二氟-6-三氟甲基苯甲酰胺在内的苯甲酰胺肟的中间体制备专利。

专利名称:ベンズアミドオキシム類の製造法
申请号:JP15752399A
申请日:1999.06.04
公开号:JP2000344729A
公开日:2000.12.12
摘要:農医薬中間体として有用な式(II)で表されるベンズアミドオキシムを安定した高収率、高純度で提供する。
【解決手段】 式(I)で表されるベンゾニトリルとヒドロキシルアミンをキレート剤の存在下で反応させた後、後処理において酸で抽出する工程を含むことで達成される。
晶形专利
2018年江苏龙灯申请了环氟菌胺的晶形专利专利名称:环氟菌胺的新晶型、其制备方法及其用途。

申请号:CN201810957512.5
授权日:2022/07/22
申请日:2018/08/21
失效日:2023/08/21
公开号:CN109535034A
摘要:本发明涉及环氟菌胺的新晶型、其制备方法及其用途,描述了具有式(I)的环氟菌胺的晶型、晶体制备方法、和通过各种分析方法对该晶体进行的分析以及使用该晶体制备稳定的农用化学品制剂。本发明还描述了针对晶型制备条件来使用各种溶剂。
06
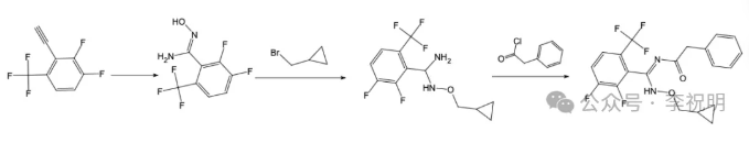
合成路线
以市售的2,3-二氟-6-三氟甲基苯甲腈(CAS:186517-05-5)为起始原料,与盐酸羟胺在碱(如碳酸钠、氢氧化钠)存在下发生亲核加成反应,生成相应的苄胺肟,然后与环丙基溴甲烷(CAS:7051-34-5)发生O-烷基化反应,生成肟醚,最后与苯乙酰氯(CAS:103-80-0)发生酰胺化反应生成环氟菌胺。合成路线如下:

07
复配推介
环氟菌胺的推广方向和应用场景为白粉病,可复配常规杀菌剂氟菌唑、戊唑醇、丙环唑、丙硫菌唑、三唑酮、叶菌唑、氟环唑、氟硅唑、己唑醇、四氟醚唑、氯氟醚菌唑等三唑类杀菌剂,还可复配醚菌酯、嘧菌酯、肟菌酯、啶氧菌酯等甲氧基丙烯酸酯类杀菌剂,氟吡菌酰胺、氟唑菌酰胺、氟唑菌酰羟胺、吡唑萘菌胺、吡噻菌胺、异丙噻菌胺等酰胺类,或乙醚酚、苯菌酮、噻霉酮、硝苯菌酯、双胍三辛烷基苯磺酸盐。或复配较为新颖的螺环菌胺、吡菌苯威等。
08
前景展望
环氟菌胺的核心竞争力在于其具有全新母体结构和独特的作用机理,能够精准防治对现有主流杀菌剂(如QoIs、DMI、SDHI类)产生抗性的白粉病菌株,且具有跨层传导、持效期长、耐雨水冲刷、熏蒸等特点,可精准聚焦于草莓、瓜菜、葡萄、西甜瓜等高价值经济作物的白粉病防治,并向苹果、小麦等市场拓展。合成方面目前中间体3,4-二氯三氟甲苯路线成熟,已经实现大生产,但如果从3,4-二氯三氟甲苯开始做,会涉及到硝化、氟化反应,属于危险工艺,需进一步优化工艺,如使用连续流工艺等优化路线。
