环氟菌噁唑(cyprometoxazam)是先正达2016年研发的新型噁二唑类杀菌剂,其结构与巴斯夫研发的氟菌噁唑(flufenoxadiazam)结构类似,主核为一个三氟甲基-1,2,4-噁二唑环,赋予了该化合物独特且超高的生物活性,以及独特的作用机理[组蛋白去乙酰化酶(HDAC)抑制剂]。SDHI、DHODH、HDACi类杀菌剂已成为继QoIs、DMI杀菌剂后最具体系开发潜力的杀菌剂品种。

1 产品简介
英文名称:cyprometoxazam;
中文名称:环氟菌噁唑;
化学名称:N-甲氧基-N-({4-[5-(三氟甲基)-1,2,4-噁二唑-3-基]苯基}甲基)环丙烷-1-甲酰胺;
分子式:C15H14F3N3O3;
相对分子质量:341.289;
CAS登录号:2093177-34-3;
结构式:

理化性质:原药为棕色或白色固体。
2 作用机理
推测环氟菌噁唑属于组蛋白去乙酰化酶(HDAC)抑制剂,组蛋白去乙酰基酶是一大家族酶的组成部分,该酶催化从组蛋白和非组蛋白中除去乙酰基。HDAC在许多生物过程中起着至关重要的作用,很大程度上是由于其对转录的抑制影响。氟菌噁唑结合HDAC活性中心,阻断其功能,导致致病基因持续激活,干扰真菌的孢子萌发、菌丝生长及侵染结构分化。
3 应用
应用作物:大豆、玉米、小麦等谷物,瓜类、茄属作物、葫芦科作物、观赏作物等。
防治病害:大豆锈病、玉米锈病、大豆靶斑病、小麦锈病、小麦褐斑病、黄瓜炭疽病、霜霉病、根腐病等。
4 专利情况
4.1 化合物专利
2016年,先正达在中国、美国等19个国家和地区申请了基于环氟菌噁唑在内的噁二唑类化合物专利。
专利名称:MICROBIOCIDAL OXADIAZOLE DERIVATIVES;
申请号:WO2016EP73295;
申请日:2016/09/29;
公开号:WO2017055473A1。
4.2 制备专利
2020年,先正达申请了基于环氟菌噁唑在内的噁二唑类杀菌剂的制备专利。
专利名称:PROCESS FOR THE PREPARATION OF MICROBIOCIDAL OXADIAZOLE DERIVATIVES;
申请号:WO2020EP60746;
申请日:2020/04/16;
公开号:WO2020212513A1。
2025年,先正达申请了基于环氟菌噁唑在内的噁二唑类杀菌剂的制备专利。
专利名称:PROCESS FOR THE PREPARATION OF MICROBIOCIDAL OXADIAZOLE DERIVATIVES。
申请号:WO2025EP52520;
申请日:2025/01/31;
公开号:WO2025163139A1。
4.3 晶形专利
2023年先正达申请了基于环氟菌噁唑在内的噁二唑类杀菌剂的晶形制备专利。
专利名称:CRYSTALLINE FORMS OF 1,2,4-OXADIAZOLE FUNGICIDES;
申请号:WO2023EP70186;
申请日:2023/07/20;
公开号:WO2024018016A1。
4.4 组合专利
2018年,先正达申请了基于环氟菌噁唑在内的噁二唑类杀菌剂的制剂组合专利。
专利名称:FUNGICIDAL COMPOSITIONS;
申请号:WO2018EP57336;
申请日:2018/03/22;
公开号:WO2018177894A1。
4.5 应用专利
2024年,先正达申请了包含环氟菌噁唑在内的化合物在大豆上防治真菌性病害的专利。
专利名称:METHOD OF PATHOGEN CONTROL IN SOYBEAN;
申请号:WO2024EP86379;
申请日:2024/12/13;
公开号:WO2025125639A1。
5 合成路线
路线一:以3-溴甲基-5-(4-三氟甲基)苯基-1,2,4-噁二唑和O-甲基羟胺盐酸盐为起始原料,经烷基化、酰胺化反应生成最终产物环氟菌噁唑(收率60%)。合成路线如下:

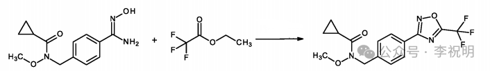
路线二:以N-[4-(N-羟基甲肟基)苯基]甲基]-N-甲氧基-环丙烷甲酰胺和三氟乙酸乙酯为起始原料,经环化,生成环氟菌噁唑。合成路线如下:

6 复配推介
推测环氟菌噁唑的推广方向为锈病,可复配SDHI类杀菌剂苯并烯氟菌唑、氟唑菌酰胺、氟唑菌酰羟胺、吡噻菌胺,三唑类杀菌剂苯醚甲环唑、环丙唑醇、戊唑醇、己唑醇、丙硫菌唑,甲氧基丙烯酸酯类杀菌剂嘧菌酯、肟菌酯、啶氧菌酯等。
7 前景展望
环氟菌噁唑作用机理新颖,与QoIs、DMI、SDHI、DHODH等杀菌剂无交互抗性,且具有较为广谱的杀菌活性,对包括卵菌纲(如疫霉属、霜霉属)、子囊菌纲(如镰刀菌、黑星菌、白粉菌)、担子菌纲(如锈菌、黑粉菌)、半知菌纲(如尾孢菌、链格孢菌)的真菌性病害都有很好的防效,特别是对大豆锈病防效优异,且与转基因作物的适配性较高。未来,环氟菌噁唑在先正达的推进下,有望成为大豆、谷物等大田作物锈病防治的重要抗性管理工具。
