氟丙草嗪(triflupyroxazin)是最早由日产化学工业株式会社在1991年报道的新型苯并噁嗪类除草剂,2025年由山东先达申请通用名并对其晶形及其制备方法进行了保护。其结构与已经商品化的丙炔氟草胺、三氟草嗪,以及噻二唑草胺结构类似。可看作是将丙炔氟草胺的四氢异吲哚二酮替换为苯嘧磺草胺的嘧啶二酮得到的全新结构的化合物,苯并噁嗪环和嘧啶二酮都是原卟啉原氧化酶(ppo)抑制剂关键药效团,氟丙草嗪融合了ppo两种关键药效团,可能具有更广谱的除草活性或更好的选择性。

01
产品简介
英文名称:triflupyroxazin
中文名称:氟丙草嗪
化学名称:3-[7-氟-3,4-二氢-3-氧代-4-(2-丙炔-1-基)-2H-1,4-苯并噁嗪-6-基]-1-甲基-6-(三氟甲基)-2,4(1H,3H)-嘧啶二酮
分子式:C17H11F4N3O4
相对分子质量:397.284
CAS登录号:134554-02-2
结构式:

02
作用机理
推测氟丙草嗪属于原卟啉原氧化酶(ppo)抑制剂类除草剂,氟丙草嗪被植物的幼芽和叶片吸收,在植物体内进行传导,在敏感杂草叶面作用迅速,引起原卟啉积累,使细胞膜脂质过氧化作用增强,从而导致敏感杂草的细胞膜结构和细胞功能不可逆损害、出现白化到坏死及枯死。
03
应用
应用作物:谷物田,如小麦、玉米等;大豆、棉花;果树、以及灭荒。
防除杂草:牛筋草、稗草、狗尾草、马唐、苋属、蓼科、藜科以及茄属杂草。
可开发剂型:5%氟丙草嗪OD、10%氟丙草嗪WDG
04
专利情况
化合物专利
1991年日本日产化学工业株式会社在美国申请了基于氟丙草嗪在内的化合物及其合成方法专利。
专利名称:Uracil derivatives and herbicides containing the same as active ingredient
申请号:US19910639216
授权日:1992/01/28
申请日:1991/01/09
失效日:2009/01/28
公开号:US5084084A1
晶形专利
2025年先达农化申请了氟丙草嗪的结晶纯化的方法专利,及其晶形以及制备方法专利。
1、专利名称:一种苯并噁嗪化合物的结晶纯化方法及其应用
申请号:202510395984 .6
申请日:2025.03.31
公开号:CN 120247892 A
2、专利名称:一种苯并噁嗪化合物的晶型A及制备方法和应用
申请号:202510396043.4
申请日:2025.03.31
公开号:CN 120247894 A
3、专利名称:一种苯并噁嗪化合物的晶型B及制备方法和应用
申请号:202510396033.0
申请日:2025.03.31
公开号:CN 120247893 A
组合专利
2025年先达申请了氟丙草嗪的制剂组合专利。
专利名称:一种除草组合物及其应用
申请号:202510396036.4
申请日:2025.03.31
公开号:CN 120240458 A
05
合成路线
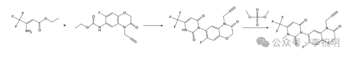
路线一:日产化学原研专利报道以3-氨基-4,4,4-三氟巴豆酸酯乙酯(CAS:372-29-2)和6-乙氧羰基氨基-7-氟-3-氧代-4-丙炔基-2H-1,4-苯并噁嗪为起始原料,经环化、N-甲基化反应生成氟丙草嗪。

路线二:以2-氨基-4-氟苯酚为起始原料,经硝化、关环、N-丙炔基化、硝基还原、缩合环化、N-甲基化等6步反应生成氟丙草嗪。合成路线如下:
路线三:以2-氨基-4-氟-6-硝基苯酚为起始原料,经关环、氧化、N-丙炔基化、硝基还原、缩合环化、N-甲基化反应生成氟丙草嗪。合成路线如下:

06
复配推介
推测氟丙草嗪的推广方向和使用场景主要有以下3个方向,一、高抗性地区灭生,可复配草甘磷、草胺磷、三氯吡氧乙酸、氨氯吡啶酸、2,4-D等,二、果园(柑橘、葡萄、坚果等)和园艺作物,可复配精草胺膦、精喹禾灵、烯草酮、氯氟吡啶酯等,三、谷物田(小麦、水稻)或转基因作物(如大豆、玉米、棉花)等,可复配常规谷物田除草剂应用,以增加对黑麦草、稗草、牛筋草、马唐、狗尾草、刺苋、苘麻等的防效。
07
前景展望
氟丙草嗪从结构上看与已经商品化的丙炔氟草胺、三氟草嗪结构高度类似,所以分析氟丙草嗪可能继承了原卟啉原氧化酶抑制剂类除草剂的特征,这类除草剂具有活性高,用量小,除草速度快,对ALS、ACCase类除草剂产生抗性的杂草高效,并且对环境友好,符合未来农药绿色发展理念。合成方面,氟丙草嗪和丙炔氟草胺共用中间体,原料供应稳定且成本可控,可参考丙炔氟草胺新工艺,避开硝化、缩合环化等高危、高成本的工艺,进一步优化合成路线,降低生产成本。目前氟丙草嗪还属于实验室阶段,未来在活性谱、选择性、环境毒性或对特定使用场景或特定抗性杂草的防效上还需要系统的生测,距离产业化还有相当长的时间。
