环己菌酯(metcyclofenstrobin)是先正达2020年研发的新型甲氧基丙烯酸酯类杀菌剂,其结构与住友化学研发的联苯菌酯结构类似,不同点仅为5位上环己基与苯基的区别。结构上与传统甲氧基丙烯酸酯类杀菌剂不同的是甲氧基丙烯酸酯与苯环之间的连接插入了氧原子,同时引入了甲基。这些改变,赋予了化合物更优的产品性能。同时该结构也可作为″先导化合物″,为衍生出更多高效新药提供基础。

01
产品简介
英文名称:metcyclofenstrobin
中文名称:环己菌酯
化学名称:(2Z)-2-(5-环己基-2-甲基苯氧基)-3-甲氧基-2-丙烯酸甲酯
分子式:C18H24O4
相对分子质量:304.386
CAS登录号:2490157-71-4
结构式:

理化性质:原药为白色固体,熔点为 131–132 °C
02
作用机理
推测环己菌酯的作用机制与甲氧基丙烯酸酯类杀菌剂类同,均为呼吸链线粒体复合物III细胞色素bc1(泛醇氧化酶)外侧Qo位点(cyt b基因)抑制剂。可能对部分QoI抗性菌株(尤其是细胞色素b F129L突变,常见于豆薯层锈菌)仍保持较好活性。
03
应用
应用作物:大豆、谷物如玉米、小麦、蔬菜等。
靶标病害:几乎对所有真菌(卵菌纲、藻菌纲、子囊菌纲和半知菌纲)病害如白粉病、炭疽病、锈病、网斑病、霜霉病、稻瘟病等均有良好的活性。但推测主要推广方向为锈病。
04
专利情况
化合物及制备专利
2022年先正达相继在中国、欧盟等18个国家和地区申请了基于环己菌酯在内的甲氧基丙烯酸酯类化合物专利及其制备专利
专利名称:杀菌化合物
申请号:WO2020EP57725
申请日:2020/03/20
公开号:WO2020193387A
当前专利权人:SYNGENTA CROP PROTECTION AG
摘要:式(i)化合物,其中取代基如权利要求1所述,可用作杀虫剂,尤其是杀菌剂。
晶形专利
2024年先正达申请了包含环己菌酯在内的甲氧基丙烯酸酯类杀菌剂的晶形专利
专利名称:甲氧基丙烯酸酯衍生物的多晶型体
申请号:WO2024EP84896
申请日:2024/12/05
公开号:WO2025120070A1
当前专利权人:SYNGENTA CROP PROTECTION AG
摘要:本发明涉及甲基(Z)-2-(5-环己基-2-甲基-5-苯氧基)-3-甲氧基丙-2-烯酸的晶体形态、包含所述晶体形态的组合物以及作为杀菌剂的使用方法。
05
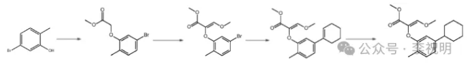
合成路线
以5-溴-2-甲基苯酚为起始原料,经醚化生成2-(5-溴-2-甲基-苯氧基)乙酸甲酯,然后经Claisen缩合、O-甲基化生成(Z)-2-(5-溴-2-甲基-苯氧基)-3-甲氧基-丙-2-烯酸甲酯(甲氧基丙烯酸酯关键砌块的构建),随后经Suzuki偶联,引入环己烯基,生成(Z)-2-[5-(环己烯-1-基)-2-甲基-苯氧基]-3-甲氧基-丙-2-烯酸甲酯,最后催化加氢反应生成最终产物(Z)-2-(5-环己基-2-甲基-苯氧基)-3-甲氧基-丙-2-烯酸甲酯,即环己菌酯。反应路线如下:

06
复配推介
推测环己菌酯的推广方向为锈病,可复配苯醚甲环唑、环丙唑醇、丙硫菌唑、苯并烯氟菌唑、肟菌酯、苯莠啶、丁苯吗啉、氟菌噁唑、吡噻菌胺、氟嘧菌酯、氯氟联苯吡菌胺、异丁乙氧喹啉、四唑菌铜、吡啶菌酰胺等以增加对锈病的防治,减缓抗性的产生。
07
前景展望
环己菌酯是先正达继住友化学联苯菌酯之后开发的又一第二代新型甲氧基丙烯酸酯类杀菌剂,其在保留了甲氧基丙烯酸酯的核心药效团的基础上,对结构进行了创新,苯环与甲氧基丙烯酸酯的连接引入了氧原子,改变了与靶标蛋白的相互作用模式从而对某些对传统QoI产生抗性的突变体有效,同时引入了甲基,环己基优化了化合物的logP值,增强了化合物的脂溶性和代谢稳定性,使其在植物体内的吸收、传导和残留特性达到新的平衡,可对植物提供更好的保护。合成方面,环己菌酯的合成路线成熟,原料易于生产,供应链稳定,专利路线收率良好适合工业化生产。市场定位可定位于巴西、阿根廷、美国等美洲大豆主产区,用于防治大豆锈病。若后续的田间试验、毒理学和环境安全评估等进展顺利,环己菌酯极有希望被开发成为一款抗性管理工具。
