摘自:《农药》2026,65 (01)
作者:夏明莹; 张晓谦; 吕绪涛; 张立鹏 (青岛科技大学山东化工研究院)
在氯虫苯甲酰胺的合成工艺中,2-氨基-5-氯-N,3-二甲基苯甲酰胺作为关键中间体,其制备工艺的优化直接影响到终产品的成本效益与产业化可行性。目前该中间体的合成路线研究基础较为薄弱,尤其在原子经济性、催化剂选择及纯化工艺等核心环节缺乏系统性研究。
据文献报道,合成2-氨基-5-氯-N,3-二甲基苯甲酰胺的方法主要有以下几种(见图2) :
1) 以7-甲基靛红为原料,经氯化亚砜氯化、甲酸-双氧水氧化、甲胺化反应制备2-氨基-5-氯-N,3-二甲基苯甲酰胺,优化工艺条件下,反应总收率为62%;
2) 以2-硝基-3-甲基苯甲酸为原料,经加氢、环合、胺解和氯化反应得到2-氨基-5-氯-N,3-二甲基苯甲酰胺,反应总收率为77.6%;
3) 以2-硝基-3-甲基苯甲酸为起始原料,经甲酯化、铁粉还原、氯化亚砜氯化和甲胺氨解反应得到2-氨基-5-氯-N,3-二甲基苯甲酰胺,反应总收率为59.0%。

图2: 2-氨基-5-氯-N,3-二甲基苯甲酰胺的合成路线
路线1虽然反应步骤短,收率相对较高,但是其起始原料7-甲基靛红价格较高,生产工艺成本高。合成路线2、合成路线3起始原料价格低,其中路线2反应收率也相对较高,但是由于起始原料2-硝基-3-甲基苯甲酸涉及安全问题,存在爆炸隐患,且路线3还涉及铁粉还原,因此这2条工艺路线不适合工业化生产。
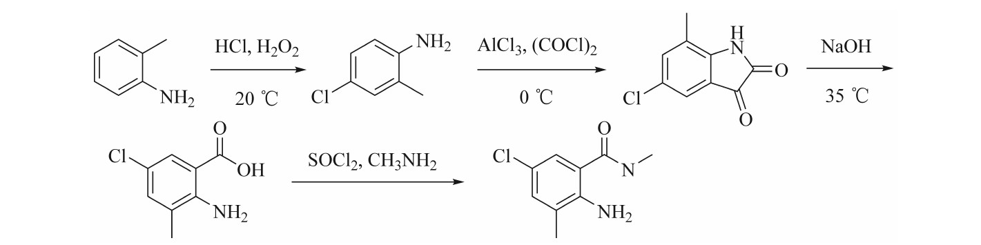
本实验以邻甲苯胺为起始原料,经盐酸-双氧水氯代、酰胺化-分子内Friedel-Crafts酰基化、水解开环、酰胺化4步反应合成2-氨基-5-氯-N,3-二甲基苯甲酰胺,通过优化工艺参数,解决了传统生产中废弃物处理成本高昂、环保达标难度大的行业痛点。新工艺采用价格低廉的邻甲苯胺作为起始原料,总原料成本大幅度降低,反应条件温和,三废排放量显著减少,更适合规模化制备生产。

图3:本文2-氨基-5-氯-N,3-二甲基苯甲酰胺合成路线
2-甲基-4-氯苯胺的合成优化
使用双氧水-盐酸体系进行氯代反应,其中邻甲苯胺与双氧水的投料比例对反应收率有较大的影响,双氧水用量少会导致反应不完全,双氧水用量多会导致废水量的增加。在其他条件不变的情况下,考察双氧水用量的影响,邻甲苯胺与盐酸的摩尔比为1∶3,催化剂为氯化锌,用量为邻甲苯胺质量的1%,反应温度为20℃,液相追踪反应进程,结果如表1所示。
表1 双氧水用量对2-甲基-4-氯苯胺合成的影响

从表1可以看出,双氧水用量对2-甲基-4-氯苯胺合成有影响,其中邻甲苯胺与双氧水摩尔比为1∶1.5时收率为96.2%,继续提高双氧水用量对反应收率影响不大,同时双氧水用量过高也会导致废水量的增加,不利于产品的工业化生产。
相关氯虫苯甲酰胺文献中以氯化亚砜为氯化试剂、以乙腈为溶剂较为常见,文献最高收率为91.6%,且在原子经济性、三废产生量和原料成本等方面处于劣势。本实验路线氯正离子源为盐酸,与液氯、氯化亚砜等相比安全性更好,双氧水作为一种绿色的氧化剂,其使用比液氯、氯化亚砜等更加安全、方便,产生的氯正离子原位发生亲电取代,利用率高。
5-氯-7-甲基靛红的合成优化
以二氯乙烷为溶剂、三乙胺为缚酸剂,2-甲基-4-氯苯胺、三乙胺、催化剂、草酰氯的物质的量之比为1∶1.2∶2.5∶1.5,草酰氯滴加过程控制反应体系温度低于5℃,滴毕回流条件下考察催化剂种类对反应的影响,结果如表2所示。 可以看出,使用三氯化铝做催化剂制备5-氯-7-甲基靛红的收率最高,可以达到90.8%,选择以三氯化铝做催化剂进行后续反应。
表2 催化剂种类对5-氯-7-甲基靛红合成的影响

以二氯乙烷为溶剂、三乙胺为缚酸剂、三氯化铝为催化剂,2-甲基-4-氯苯胺、三乙胺、草酰氯的物质的量之比为1∶1.2∶1.5,草酰氯滴加过程控制反应体系温度低于5℃,滴毕回流条件下考察催化剂用量对反应的影响,结果如表3所示。 可以看出,三氯化铝用量为2.1倍时反应收率最高,继续增加用量也无法进一步提高反应收率。
表3 催化剂用量对5-氯-7-甲基靛红合成的影响

以二氯乙烷为溶剂、三乙胺为缚酸剂,2-甲基-4-氯苯胺、三乙胺、三氯化铝的物质的量之比为1∶1.2∶2.1,草酰氯滴加过程控制反应体系温度低于5℃,滴毕回流条件下考察草酰氯用量对反应的影响,结果如表4所示。 可以看出,当2-甲基-4-氯苯胺与草酰氯摩尔比为1∶1.25时反应收率最高,继续提高草酰氯投料对反应收率影响不大。
表4 草酰氯用量对5-氯-7-甲基靛红合成的影响

以二氯乙烷为溶剂,三乙胺为缚酸剂,三氯化铝为催化剂,2-甲基-4-氯苯胺、三乙胺、三氯化铝、草酰氯的物质的量之比为1∶1.2∶2.1∶1.25,草酰氯滴加过程控制反应体系温度低于5℃,考察滴毕草酰氯后反应温度对反应的影响,结果如表5所示。 可以看出,滴加草酰氯结束后反应温度对收率有较大影响,其中70℃时反应收率最高。
表5 反应温度对5-氯-7-甲基靛红合成的影响

2-氨基-5-氯-3-甲基苯甲酸的合成优化
双氧水浓度会影响5-氯-7-甲基靛红开环速率和反应收率,双氧水浓度过低会影响反应收率,双氧水浓度过高可能会存在安全隐患。在其他条件不变的情况下,5-氯-7-甲基靛红、氢氧化钠、双氧水物质的量比为1∶3.9∶1.47,反应温度35℃,考察双氧水浓度对反应的影响,实验结果如表6所示。 可以看出,双氧水浓度为15%时收率最高为90.2%,继续提高双氧水浓度对反应影响不大,且双氧水浓度过高会存在安全隐患。
表6 双氧水浓度对2-氨基-5-氯-3-甲基苯甲酸合成的影响

2-氨基-5-氯-N,3-二甲基苯甲酰胺的合成优化
在其他条件不变的情况下,2-氨基-5-氯-3-甲基苯甲酸与二氯亚砜摩尔比为1∶1.55,二氯甲烷为溶剂,反应温度低于20℃,滴毕后反应1 h,考察2-氨基-5-氯-3-甲基苯甲酸与甲胺的摩尔比对反应收率的影响,实验结果如表7所示。 可以看出,2-氨基-5-氯-3-甲基苯甲酸与甲胺摩尔比为1∶1.2时收率最高,等摩尔投料反应收率不到70%,同时继续提高甲胺投料对反应收率影响不大。
表7 原料投料比对2-氨基-5-氯-N,3-二甲基苯甲酰胺合成的影响

结论
通过综合分析2-氨基-5-氯-N,3-二甲基苯甲酰胺合成工艺的基础上,开发了以邻甲苯胺为原料合成2-氨基-5-氯-N,3-二甲基苯甲酰胺新工艺,反应经盐酸-双氧水氯代、酰胺化-分子内Friedel-Crafts酰基化、水解开环、酰胺化4步合成产品,反应总收率72.8%(以邻甲苯胺计)。该工艺反应条件温和,原料易得,操作条件简单,适合工业化生产。
