苯磺噁唑草(Fenoxasulfone)是日本组合化学和奄原化学2001年开发的新型异噁唑啉类除草剂,其与组合化学同时期开发的砜吡草唑结构类似,都具有5,5-二甲基-4,5-二氢异恶唑和磺酰基活性结构,不同的是苯磺噁唑草的苯环结构替代了砜吡草唑的吡唑环结构,这一替换降低了该化合物的亲水性,更有利于土壤的吸附,因此这也使得苯磺噁唑草在高活性的同时能保持较长的控草期,与砜吡草唑会对水稻造成药害不同,这一结构的替换也使得苯磺噁唑草对水稻具有较好的安全性,正因此,苯磺噁唑草在日本被登记用于水田和草坪芽前/芽后除草。

01
产品简介
英文名称:fenoxasulfone
中文名称:苯磺噁唑草
化学名称:3-[(2,5-二氯-4-乙氧基苯基)甲基磺酰基]-5,5-二甲基-4H-1,2-噁唑
分子式:C14H17Cl2NO4S
相对分子质量:366.260
CAS登录号:639826-16-7
结构式:

理化性质:原药为白色晶体、融点:157.6℃、蒸气压:2.9×10-7Pa(25℃)水溶解度:0.17 mg/L(20℃)、沸点: 468.3±55.0 °C(Predicted) 、密度: 1.40±0.1 g/cm3(Predicted)
02
作用机理
与砜吡草唑一样,苯磺噁唑草属于极长链脂肪酸合成抑制剂,通过抑制植物蜡层形成等所必需的超长链脂肪酸的生物合成,导致植物不能正常生长,导致枯死。苯磺噁唑草被植物体内吸收后,在未发芽时处理,出芽后迅速停止生长,直至枯死,在处理生长初期的新芽时,处理后数天出现新叶出芽、萎叶、浓绿等症状,阻碍生长,约2-3周左右,直至枯死。
与砜吡草唑一样,苯磺噁唑草不能抑制种子萌发,主要是在种子发芽之后抑制种子幼芽的生长。
03
应用
应用作物:水稻、草坪等。
防治杂草:稗草、稻稗、鸭舌草、陌上菜、白花水八角、节节菜、假柳叶菜、繁缕、婆婆纳、球穗莎草、牛毛毡、水莎草等。
开发剂型:2%苯磺噁唑草GR、8%苯磺噁唑草GR、75%苯磺噁唑草WDG等。
04
登记情况
日本登记情况:
目前,苯磺噁唑草在日本由组合化学、三井化学、理研化学三家企业登记。登记剂型有颗粒剂、可湿性粉剂、可溶粒剂。复配有苯磺噁唑草·溴丁酰草胺·苄嘧磺隆颗粒剂、苯磺噁唑草·吡嘧磺隆、苯磺噁唑草·吡嘧磺隆·双环磺草酮、苯磺噁唑草·吡草酮·吡嘧磺隆、吡嘧磺隆·苯磺噁唑草·双唑草腈、苯磺噁唑草·双唑草腈·噁嗪草酮、二甲戊灵·苯磺噁唑草·双唑草腈·苄嘧磺隆、苯磺噁唑草·双唑草腈。

05
专利情况
2001年7月クミアイ化学工业株式会社和イハラケミカル工业株式会社在日本,随后相继在美国、中国等全球53个国家和地区申请了基于苯磺噁唑草在内的异噁唑啉类化合物的专利。
专利名称:异噁唑啉衍生物和含有它们作为活性组分的除草剂
申请号:JP2001215942A
申请日:2001-07-16
公开号:JP2002308857A
当前专利权人:クミアイ化学工业株式会社; イハラケミカル工业株式会社
其他国家专利:AU2002234870A1、CA2438547A1、AR034426A1、CN100361982C、BR0207025A、ECSP034720A、CN1257895C、CN1491217A、CN1673221A、EP1364946A1、US20040110749A1
06
合成路线
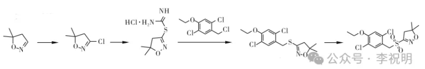
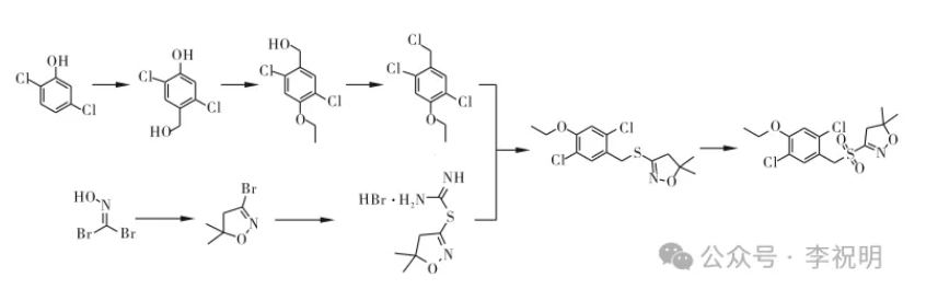
目前合成苯磺噁唑草的路线主要有三条,主要涉及关键中间体3-(2,5-二氯-1-乙氧基-4-基)甲硫基-4,5-二氢-5,5-二甲基异噁唑的合成。
路线一:专利WO2022009044A1报到了以1,4-二氯-2-乙氧基-5-甲基苯为原料,经溴化、取代、缩合生成中间体3-(2,5-二氯-1-乙氧基-4-基)甲硫基-4,5-二氢-5,5-二甲基异噁唑,然后中间体3-(2,5-二氯-1-乙氧基-4-基)甲硫基-4,5-二氢-5,5-二甲基异噁唑再经氧化得到目标物苯磺噁唑草。合成路线如下:

路线二:专利WO2011063842A报道了以5,5-二甲基-4,5-二氢异噁唑为原料经2步反应合成异噁唑盐酸盐,再与2,5-二氯-4-乙氧基苄氯发生亲核取代反应合成前体3-(2,5-二氯-1-乙氧基-4-基)甲硫基-4,5-二氢-5,5-二甲基异噁唑,然后在氧化生成苯磺噁唑草。合成路线如下:

路线三:以2,5-二氯苯酚为原料,经过羟甲基化、取代和氯代合成中间体 2,5-二氯-4-乙氧基苄氯,再通过偶联和氧化得到目标产物苯磺噁唑草。产品含量98%,反应总收率39.3%(以2,5-二氯苯酚计)。合成路线(王继虓, 梁爽, 白晓晨, 等. 水稻田除草剂fenoxasulfone的合成[J]. 农药, 2024, 63(4): 250-253.)如下:

07
复配推介
苯磺噁唑草应用在水田,与常规水田除草剂无交互抗性,可选择与丙草胺、丁草胺、苯噻酰草胺、溴丁酰草胺、五氟磺草胺、唑草胺、三唑酰草胺、噁唑酰草胺、氟砜草胺、三唑草酰胺、四咯氟草胺、二甲吡草胺、二甲草磺酰胺、吡嘧磺隆、苄嘧磺隆、嘧苯胺磺隆、环丙嘧磺隆、丙嗪嘧磺隆、唑吡嘧磺隆、双环磺草酮、噁嗪草酮、呋喃磺草酮、氧戊噁草酮、酚喹酮、环苯草酮、苯丙草酮、茚草酮、丙炔噁草酮、氧戊磺草酮、环戊噁草酮、环哒嗪草酯、氰氟草酯、双草醚、氟嘧啶草醚、环酯草醚、嘧啶草噁唑、双唑草腈、环丙吡草腈、双环炔草等复配。
08
前景展望
苯磺噁唑草的设计基础源于组合化学对先前开发的除草剂砜吡草唑的结构优化,通过保留活性结构5,5-二甲基-4,5-二氢异噁唑和磺酰基的同时,引入了苯环结构以增强土壤吸附能力,在保持优异除草活性的同时,兼具良好的作物安全性,随着异丙甲草胺的禁用,砜吡草唑近几年成为炙手可热的产品,其与砜吡草唑共用中间体,砜吡草唑的合成中已开发出多条成熟路线,其中经巯基异噁唑中间体和经异噁唑-3基硫脲盐酸盐的路线收率较高(分别达87%和82%),条件相对温和,对苯磺噁唑草的工艺优化也具有参考价值,这为未来苯磺噁唑草在国内的开发提供了优势条件。
应用方面苯磺噁唑草主要瞄准水稻田市场,同时可向草坪等非农用领域扩展,在水稻田应用中,苯磺噁唑草的核心卖点在于其对稗草的卓越防效,尤其是对抗磺酰脲类除草剂的杂草种群表现出显著活性。日本组合化学的试验表明,苯磺噁唑草以有效成分50-200 g/hm²剂量应用时,对芽前至3.0叶期的稻稗和稗均有良好的防除活性。除稗草外,该药剂还能有效防除鸭舌草、陌上菜、节节菜、球穗莎草、牛毛毡、水莎草等一年生阔叶杂草和莎草,且对水稻表现了足够的作物安全水平。开发剂型方面,随着水稻种植的集约化,苯磺噁唑草可以与双唑草腈、双环磺草酮等开发颗粒剂,便于飞防。
目前苯磺噁唑草的专利期已届满,不存在专利壁垒,随着合成工艺进一步优化和生产成本降低,未来其优势将更加凸显,有望成为水稻田除草剂市场的重要产品。
