相关新闻
- 清原农冠专利杀菌剂硝苯菌酰胺获ISO通用名临时批准
大农化网报道:2025年12月10日,青岛清原农冠的新型苯甲酰胺杀菌剂cyclobunofen获ISO通用名正式批准,中文名称为硝苯菌酰胺。
CAS:3052252-62-4
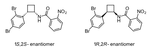
IUPAC 名称:mixture of 80–100% N-[(1S,2S)-2-(2,4-dibromophenyl)cyclobutyl]-2-nitrobenzamide and 20–0% of the (1R,2R)-enantiomer
CAS 名称:N-[2-(2,4-dibromophenyl)cyclobutyl]-2-nitrobenzamide
中文化学名称:80~100 % N-[(1S,2S)-2-(2,4-二溴苯基)环丁基]-2-硝基苯甲酰胺与其20~0 % (1R,2R)-对映异构体的混合物
分子式:C17H14Br2N2O3
相对分子质量:454.118
结构式:

AgroPages世界农化网 独家稿件,转载请注明版权!
