乙酰虫腈(acetoprole)是1997年由罗纳-普朗克(现拜耳作物)开发的新型吡唑酰胺类杀虫剂,乙酰虫腈也是氟虫腈的改造物。生测表明乙酰虫腈不但对鳞翅目、半翅目、鞘翅目、同翅目等害虫有效,而且对柑橘全抓螨等螨虫,根结线虫等都有防效。当年由于氟虫腈的禁用,乙酰虫腈与乙(硫)虫腈曾被作为氟虫腈的替代品,但后因双酰胺类杀虫剂的上市,最终导致乙酰虫腈的竞争力不足,未能成功商业化。

01
产品简介
英文名称:acetoprole
中文名称:乙酰虫腈
化学名称:rac-1-{5-氨基-1-[2,6-二氯-4-(三氟甲基)苯基]-4-[(R)-甲基亚磺酰基]-1H-吡唑-3-基}乙酮
分子式:C13H10Cl2F3N3O2S
相对分子质量:400.204
CAS登录号:209861-58-5
结构式:

理化性质:纯品为白色结品固体,熔点为166℃
02
作用机理
作为氟虫腈乙酰虫腈属于γ-氨基丁酸(GABA)门控氯离子通道阻滞剂,作用于昆虫神经系统。阻断GABA激活的氯离子通道,从而引起昆虫过度兴奋和惊厥。GABA是昆虫神经兴奋传导中主要的抑制性神经递质。
03
应用
应用作物:葡萄园、观赏植物、人造林、树木、谷物、棉花、蔬菜、甜菜、大豆、油菜、玉米、高粱、核果柑橘类果园等。
靶标害虫:防治鳞翅目的成虫、幼虫和虫卵,如烟蚜夜蛾、甜菜夜蛾等;防治鞘翅目的成虫和幼虫,如棉铃象甲;防治半翅目和同翅目,如木虱,粉虱,蚜虫等。
可开发剂型:10%乙酰虫腈SC、30%乙酰虫腈WP
04
专利情况
1997年罗纳·普朗克农业化学公司在全球40个国家和地区申请了基于乙酰虫腈在内的苯基吡唑类化合物专利。
专利名称:杀虫的1-芳基吡唑
申请号:CN97180938.0
申请日:1997/12/18
失效日:2017/12/18
公开号:CN1242002A
摘要:本发明涉及式(Ⅰ)的1-苯基吡唑衍生物及它们作为杀虫剂的应用,其中R1、R2、R3、R4和X的定义如说明书中所述。
05
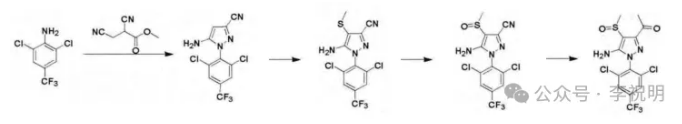
合成路线
合成参考氟虫腈衍生物系列,共用中间体吡唑环,以2,6-二氯-4-三氟甲基苯胺为原料,经过重氮化,与2.3-二氰基丙酸酯反应合环得到5-氨基-1-(2,6-二氯-4-三氟甲基苯基)-3-氰基吡唑,然后此中间体与甲硫基氯烷基化取代,得到5-氨基-1-(2.6-二氯-4-三氟甲基苯基)-3-基-4-甲硫基吡唑,然后经过氧化得到5-氨基-1-(2.6-二氯-4-三氟甲基苯基)-3-氰基-4-甲基亚硫酰基吡唑,最后与甲基溴化镁反应得到目标产物乙酰虫腈。合成路线如下:

06
复配推介
乙酰虫腈和选择与氯虫苯甲酰胺、茚虫威、虱螨脲、甲维盐、溴虫腈、甲氧虫酰肼、乙基多杀菌素、唑虫酰胺等增加对甜菜夜蛾、斜纹夜蛾、二化螟、稻纵卷叶螟的防效;复配呋虫胺、烯啶虫胺、氟啶虫胺腈、三氟苯嘧啶、苯嘧虫噁烷、毒死蜱等增加对稻飞虱的防效;复配噻嗪酮、螺虫乙酯、吡蚜酮、螺甲螨酯等增加对粉虱、木虱、介壳虫、螨虫、蚜虫、粉蚧的防效。
07
产品评价
乙酰虫腈也是氟虫腈衍生物家族的一员,在主体结构不变的情况下,乙酰虫腈较家族其他化合物做了较大的变化,三氟甲基硫基 (-SCF₃) 是氟虫腈具有高效、广谱杀虫活性的关键。将其替换后,乙酰虫腈的杀虫谱系和活性强度发生改变,对某些特定害虫更有效。在物理性质方面,-SCF₃是一个强疏水基团,使氟虫腈亲脂性强。而乙酰氧基 (-OCOCH₃) 则极性更强,这可能会提高乙酰虫腈的水溶性或改变其在环境中的迁移与降解行为。毒性方面氟虫腈的整体结构对昆虫GABA受体的强效、不可逆阻断作用密切相关。改变该取代基,是降低对非靶标生物(如蜜蜂、水生生物)毒性、提高选择性的重要策略,所以推测乙酰虫腈可能在特点使用场景和用量方面更具安全性。乙酰虫腈由于并未上市,目前仅为实验室或科研阶段,但该化合物仍值得关注。
