环己螨酯是2021年由山东康乔生物科技有限公司研发的新型有机硫(或亚硫酸酯类)杀螨剂,其结构与美国Uniroyal公司开发的炔螨特结构类似,可看作是二氟乙基替换炔基得到的,氟原子的引入增强了化合物的亲脂性、代谢稳定性以及与靶标结合能力。环己螨酯在抗性红蜘蛛市场表现优秀,持效期长,性价比高,也因而曾经一度成为黑科技市场的″宠儿″。

01
产品简介
中文名称:环己螨酯
化学名称:2-(4-(叔丁基)苯氧基)环己基(2,2-二氟乙基)亚硫酸酯
结构式:

理化性质:原药为无色或金黄色油状液体
02
作用机理
推测环己螨酯的作用机理同炔螨特一致,属于线粒体ATPase (腺苷三磷酸酶)抑制剂,通过抑制线粒体ATP合成酶,来干扰螨虫的能量代谢。该酶是呼吸链的关键组成部分,负责催化ATP的生成;炔螨特通过结合其多个特异性位点,解除氧化与磷酸化的关联,导致电子传递积累的电化学势能被消耗,从而阻断ATP的形成,最终使螨虫因能量缺失而死亡。
03
应用
应用作物:柑橘、苹果、桃等果树;豆类、茄果类、瓜类等;棉花、茶叶、草莓等作物以及观赏花卉等。
靶标害螨:叶螨科 (朱砂叶螨、柑橘全爪螨、二斑叶螨、苹果全爪螨、神泽叶螨、山楂叶螨)、瘿螨科、走螨科细须螨科等。
开发剂型:40%环己螨酯EC、40%环己螨酯ME
40%环己螨酯对蔷薇科观赏花卉红蜘蛛田间药效试验

40%环己螨酯对柑橘树红蜘蛛田间药效试验

04
专利情况
2021年山东康乔申请了基于环己螨酯在内的有机硫类化合物及其制备方法和应用专利。
专利名称:一种有机硫类化合物及其制备方法和应用
申请号:CN202110831212.4
授权日:2022/11/22
申请日:2021/07/22
失效日:2041/07/22
公开号:CN114315671A
公开日:2022/04/12
当前专利权人:山东康乔生物科技有限公司
摘要:本发明涉及一种有机硫类化合物及其制备方法和应用,属于农药的技术领域。表示为下述通式Ⅰ:或其可农用盐。本发明的化合物对农业害螨特别是柑橘全爪螨、朱砂叶螨显示出明显优于炔螨特的效果;以及对于抗性农业害螨,特别是抗性柑橘全爪螨显示出卓越的防治效果。
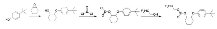
05
合成路线
专利CN202110831212.4和CN202111079094.2中描述了环己螨酯的合成路线,以对叔丁基苯酚和环氧环己烷为起始原料,在碱性条件下,经亲核开环加成反应生成2-(4-叔丁基苯氧基)环已醇,然后经酯化反应生成-(4-叔丁基苯氧基)环己基-0-亚磺酰氯,最后与2,2-二氟乙醇在碱性条件下反应生成2-(4-(叔丁基)苯氧基)环已基(2,2-二氟乙基) 亚硫酸酯,即环己螨酯。合成路线如下:

06
复配推介
在抗性区域,目前环己螨酯虽已不像当年刚″上市″的时候特效,但防效依旧是常规登记产品无法企及的。在使用中可复配阿维菌素、雷皮菌素、弥拜菌素、吡螨胺、灭螨醌、灭螨猛、螺甲螨酯、联苯肼酯、丁氟螨酯、腈吡螨酯、乙唑螨腈、苯螨咪唑、苯苄螨酰胺、氟螨双醚、氟螨硫醚、氟戊螨硫醚、硫氟螨、吲哚螨砜、唑醚螨腈、氟螨啶、氟吡甲酰胺、抗螨唑、苯螨醚、喹螨醚、嘧螨醚、莫多拉纳、苯氟磺胺等。
07
前景展望
单纯从市场防效方面考量,环己螨酯是一款优秀的产品,市场早已给出答卷。但作为专利化合物,即使是原研企业要使得环己螨酯能在国内合规登记销售也不得不面临着投入成本极高、周期极长,评审标准趋严的现状,另外在登记上市之前,对环己螨酯的生态毒理、残留、代谢途径、代谢物毒性、物种影响等还需要进行更加系统的研究。
