丁虫腈(flufiprole)是大连瑞泽王正权2002年开发的新型苯基吡唑类杀虫剂,2018年王正权将专利权转让给了大连九信,现由大连九信进行商业化开发。其是在氟虫腈的基础上通过对吡唑环上取代基的结构和位置进行修饰和改换得到。作为氟虫腈衍生家族的一员,丁虫腈同样具有杀虫谱广、杀虫速度快等特点,对半翅目、鳞翅目、缨翅目、鞘翅目害虫具有优异防效可用在水田上防治稻飞虱、二化螟、稻纵卷叶螟,在蔬菜田防治白粉虱、小菜蛾、根蛆,作为卫生杀虫可防治蟑螂,对盲蝽蟓、草原蝗虫有特效。

01
产品简介
英文名称:flufiprole
中文名称:丁烯氟虫腈/丁虫腈
化学名称:rac-1-[2,6-二氯-4-(三氟甲基)苯基]-5-(2-甲基丙-2-烯氨基)-4-[(R)-(三氟甲基亚磺酰基)]吡唑-3-甲腈
分子式:C16H10Cl2F6N4OS
相对分子质量:491.238
CAS登录号:704886-18-0
结构式:

理化性质:原药为白色粉末。熔点 172~174 ℃。溶解度:水 0.02 g/L。
02
作用机理
丁虫腈属于γ-氨基丁酸(GABA)门控氯离子通道阻滞剂,作用于昆虫神经系统。阻断GABA激活的氯离子通道,从而引起昆虫过度兴奋和惊厥。GABA是昆虫神经兴奋传导中主要的抑制性神经递质。
其作用方式为胃毒和触杀,有一定的内吸性。
03
应 用
应用作物:水稻、大豆、棉花、玉米等大田作物;甘蓝、白菜、油菜、萝卜等十字花科蔬菜;苹果、梨、桃、山楂等果树。
靶标害虫:桃小食心虫、梨小食心虫、菜青虫、甜菜夜蛾、跳甲、蟋蟀、蚂蚱、蝼蛄、蛴螬、金针虫、地老虎、白粉虱、绿叶蝉、蝽象、姜螟、韭蛆、潜叶蝇等。
开发剂型:80%丁虫腈WDG、5%丁虫腈EC


04
登记情况
国内登记情况:

05
专利情况
2002年王正权在中国、韩国、澳大利亚、东南亚等6个国家各地区相继申请了基于丁虫腈在内的苯基吡唑衍类化合物专利。
专利名称:N-苯基吡唑衍生物杀虫剂
申请号:CN02128312.5
授权日:2005/06/01
申请日:2002/07/30
失效日:2022/07/30
公开日:CN1398515A
当前专利权人:大连九信作物科学有限公司
摘要:本发明提供了一类N-苯基吡唑衍生物杀虫剂及其制备方法,特别对其中(I)-(IV)四个杀虫剂化合物作了重点研制。N-苯基吡唑衍生物是一种对多种害虫具有优异防效的广谱杀虫剂,而且对抗药性害虫也有极高的敏感性。本发明将化合物(I)、(IV)与国外商品Regent作了药效对比测试,表明本发明化合物杀虫剂具有与国外商品相同或更高杀虫效果。
06
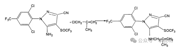
合成路线
专利CN02128312.5报道了以氟虫腈为原料与2,3-二氰基丙酸乙酯发生亲核取代,随后,分子内发生缩合环化,得到目标产物丁虫腈。合成路线如下:

07
复配推介
丁虫腈在实际应用中可复配格力高、格力高异构体G1—G7、环丙氟虫胺、氟雷拉纳、异噁唑虫酰胺、溴氰虫酰胺、溴虫腈、茚虫威、虱螨脲、噁唑磺酰虫啶、环虫酰肼、啶虫丙醚、甲维盐、杀虫环等增加对二化螟、稻纵卷叶螟的防效;可复配三氟苯嘧啶、毒死蜱、双三氟虫脲、氟啶虫胺腈、氟虫啶胺、苯嘧虫噁烷增加对稻飞虱的防效;复配噻虫胺、噻虫嗪、喹硫磷、氟啶脲等增加对韭蛆的防效。
08
前景展望
同样作为氟虫腈衍生家族的一员,丁虫腈对水生生物,特别是对带壳的水生生物有潜在高毒性。而在推广过程中,最令人诟病的是代谢产物中有氟虫腈,同时其代谢产物丁虫腈砜、丁虫腈酰胺等也存在比本体还高的毒性。这也成为丁虫腈推广的最大阻力。同时丁虫腈具有很强的土壤残留和植物组织(叶、花)等长残留活性,也对蜜蜂等传粉昆虫存在潜在风险。所以要推广丁虫腈必须进行精确的环境风险评估,在特定市场推广,在这个新药频出的时代,这一定程度上也限制了丁虫腈继续商业化的可能性。
