嘧啶草噁唑(rimisoxafen)是由杜邦公司2015年研发的新型异噁唑类除草剂。2018年,杜邦将专利权转让给了富美实,后由富美实进行商业化开发。嘧啶草噁唑的分子设计非常巧妙,其主体结构是由5-氯嘧啶和3-二氟甲基异噁唑组成,从结构上看,其可看作是在嘧啶醚类除草剂的基础上把4,6-二甲氧基嘧啶替换为5-氯嘧啶,一般认为,其除草活性由该结构提供,除草机制理应为让杂草黄化的ALS抑制剂。但据报道,其作用机理是让杂草白化的八氢番茄红素去饱和酶和茄尼基焦磷酸合酶抑制剂的双重作用机理,那其除草活性应是由苯氧基提供,而3-二氟甲基异噁唑的引入一般认为可提升靶标结合能力,提高除草速度。研究和生测表明,嘧啶草噁唑具有活性高、杀草谱广、控草期长等特点,对已对ALS抑制剂产生抗性的繁缕、地肤、野苋菜、野油菜、豚草、猪殃殃、灰藜等都有较好的防效。

图1 具有嘧啶结构的除草剂作用机理都为ALS抑制剂

图2 含有异噁唑结构的除草剂
1 产品简介
英文名称:rimisoxafen;
中文名称:嘧啶草噁唑;
其他名称:瑞米酚;
化学名称:5-氯-2-{3-氯-2-[3-(二氟甲基)-1,2-噁唑-5-基]苯氧基}嘧啶;
分子式:C14H7Cl2F2N3O2;
相对分子质量:358.127;
CAS登录号:1801862-02-1;
结构式:如图3。

图3 嘧啶草噁唑的结构式
理化性质:原药为黄色油状液体;熔点:198℃;沸点:265℃;密度:1.27 g/cm3;溶解性:在水中的溶解度为10 g/L;蒸气压:在 20℃时,蒸气压约为1.01×10-4 mmHg。
2 作用机理
据报道,嘧啶草噁唑具有双重作用机理,属于八氢番茄红素去饱和酶(PDS)和茄尼基焦磷酸合酶(SDPS)抑制剂。
(1)茄尼基焦磷酸合酶(SDPS)——HRAC 第32组
生物学作用:SDPS是质体醌生物合成中的关键酶。质体醌在光合作用电子传递链中作为电子载体,并且是类胡萝卜素生物合成的辅助因子。
除草影响:抑制SDPS会损害光合作用,诱导氧化应激,导致植物褪绿并最终死亡。
(2)八氢番茄红素脱氢酶(PDS)—— HRAC第12组
生物学作用:PDS在类胡萝卜素生物合成途径中催化一个关键的脱氢步骤,其产物能保护叶绿素免受光诱导的氧化损伤。
除草影响:阻断PDS会耗尽类胡萝卜素,导致叶片白化以及植物组织发生光氧化破坏。

图4 双重作用机理的嘧啶草噁唑
3 应用
应用作物:玉米、小麦、水稻等,掌握不好用量容易出现药害,需要生测安全剂。
防治杂草:繁缕、地肤、野苋菜、野油菜、豚草、猪殃殃、灰藜、牵牛花、荞麦、野罂粟、芥菜、沼生异蕊花和轮伞莎草等。
室内生测表明:嘧啶草噁唑对阔叶杂草苘麻和百日草具有优异的防效,优于对照磺酰草吡唑,在 37.5 g a.i./hm2剂量下,防除效果可达100%。

4 专利情况
2015年1月9日,杜邦在全球25个国家和地区申请了基于嘧啶草噁唑在内的嘧啶氧基苯衍生物系列化合物作为除草剂的专利。
专利名称:嘧啶氧基苯衍生物作为除草剂;
申请号:WO2015US10823;
申请日:2015/01/09;
公开号:WO2015108779;
公开日:2015/07/23;
前专利权人:E.I.DU PONT DE NEMOURS ANDCO;
摘要:公开了式(1)化合物,包括所有立体异构体、n-氧化物及其盐,其中Q、Z、R2、R3和m如公开中所定义。还公开了含有式(1)化合物的组合物和用于控制不想要的植被的方法,所述方法包括将所述不想要的植被或其环境与有效量的本发明化合物或组合物接触。

合成专利:
2020年12月富美实在全球13个国家和地区申请了包含嘧啶草噁唑在内的2-硫烷基嘧啶的方法专利。
专利名称:合成2-硫烷基嘧啶的方法;
申请号:WO2020US62779;
申请日:2020/12/02;
公开历史:WO2021113282A1;
公开日:2021/06/10;
当前专利权人:FMC CORP;
摘要:一种制备式1化合物及其化合物的方法,包括用式3化合物处理式2化合物,并使得到的式4中间体与式5化合物(或其盐)反应。通过上述方法制备的式1化合物可用于制备式8化合物,其中R2、R3、R4、m和r如说明书中所定义。

5 合成路线
路线一:专利WO2015US10823报道了嘧啶草噁唑的合成路线,通过1-(2-氯-6-甲氧基苯基)乙酮和二氟乙酰乙酸乙酯作为起始原料,经缩合、成肟、合环和水解等4步反应制得目标物嘧啶草噁唑,合成路如下:

路线二:专利WO2021113282A1描述了以2,6-二氯苯乙酮为起始原料,以甲醇钠为碱,与二氟乙酸乙酯低温下缩合得到二酮中间体,再在高温条件下,经亲核取代形成苯并吡喃酮中间体,之后通过乙酸钠和盐酸羟胺共同作用,进行开环与再合环的反应,直接生成异噁唑取代的苯酚中间体3-氯-2-[3-(二氟甲基)异噁唑-5-基]-苯酚。同时,专利中以氯乙酰氯为原料,经Vilsmeier反应,制得活性中间态盐,再与甲基异硫脲一锅合环生成5-氯-2-(甲硫基)-嘧啶,接着经氧化制得5-氯-2-(甲砜基)-嘧啶,最后与中间体3-氯-2-[3-(二氟甲基)异噁唑-5-基]-苯酚通过缩合反应最终制得目标产物嘧啶草噁唑,合成路线如下:

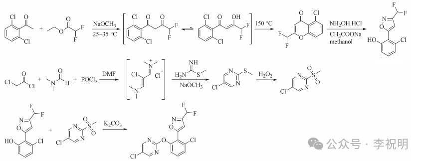
路线三:英君伍等描述了以2,6-二氯苯乙酮为起始原料,以氢化钠为碱,在N,N-二甲基甲酰胺中与二氟乙酸乙酯反应,一锅法得到5-氯-2-(二氟甲基)-4H-1-苯并吡喃-4-酮中间体,之后苯并吡喃酮中间体在甲醇中,与乙酸钠和盐酸羟胺反应,先开环后合环,生成异噁唑基苯酚的钠盐,再通过浓盐酸对其进行处理,成功得到关键中间体3-氯-2-[3-(二氟甲基)异噁唑-5-基]-苯酚。最后3-氯-2-[3-(二氟甲基)异噁唑-5-基]-苯酚与2,5-二氯嘧啶,在N,N-二甲基甲酰胺、碳酸钾体系中,发生缩合反应,生成目标产物嘧啶草噁唑。合成路线如下:

6 前景展望
从分子结构上,嘧啶草噁唑在结构设计上体现了显著的创新性,独特之处在于将嘧啶部分与苯联异噁唑部分通过精巧的分子工程结合,特别是将传统的4,6-二甲氧基嘧啶片段创新性地修饰为5-氯嘧啶基团,同时在异噁唑的3位上引入二氟甲基基团,这一结构优化使其除草活性和作物安全性达到最佳平衡。
从作用机理上,嘧啶草噁唑最引人注目的是其拥有双重作用机理,能同时抑制杂草体内的两个关键酶——八氢番茄红素去饱和酶(PDS)和茄尼基焦磷酸合酶(SDPS)。PDS是类胡萝卜素生物合成途径中的关键酶,其抑制会导致杂草出现白化现象;而SDPS则参与质体醌的合成,其抑制会引起杂草体内质体醌水平急剧下降,同样导致白化死亡。这种双靶点作用机制使得杂草难以通过单一突变产生抗药性,显著降低了抗性发展风险。嘧啶草噁唑的双重作用机理在除草剂发展中具有里程碑意义,为抗药性治理提供了全新解决方案。
从合成上,虽然目前国内沈阳中化对嘧啶草噁唑的合成路线进行了优化,选择容易获得的2,6-二氯苯乙酮为起始原料,经过3步反应合成,但结果显示其合成总收率仅为8.29%,这一收率水平显示嘧啶草噁唑的合成路线还存在很大的优化空间,未来需开发高效催化剂来提高关键步骤的选择性和收率,优化反应溶剂和条件以减少副产物和废物生成等。随着工艺优化和规模化生产,成本有望进一步降低。
从市场推广方向看,嘧啶草噁唑的使用场景为玉米、小麦、水稻或者大豆上,但从专利和室内生测表明,嘧啶草噁唑对使用场景下的作物可能存在不同程度的药害,需生测安全剂。另外,嘧啶草噁唑主要针对双子叶杂草和莎草科杂草,根据杀草谱目前国内适合的应用场景为冬小麦或西北春玉米区,以及新疆棉花种植区,若能在这些作物上取得显著防效,其市场潜力可观。
