嘧菌环胺(cyprodinil)是瑞士诺华(现先正达)1988年研发的苯胺嘧啶类杀菌剂,其结构与艾格福公司(现属拜耳)开发的嘧霉胺以及组合化学开发的嘧菌胺结构类似,仅为取代基的不同。作为强疏水基团,环己基的取代使得嘧菌环胺较嘧霉胺具有较好的脂溶性,赋予了化合物较好的跨层传导能力,同时稳定性更好,具有更长的持效期。

01
产品简介
英文名称:cyprodinil
中文名称:嘧菌环胺
化学名称:4-环丙基-6-甲基-N-苯基嘧啶-2-胺
分子式:C14H15N3
相对分子质量:225.289
CAS登录号:121552-61-2
结构式:

理化性质:原药为有些许气味的细密米黄色粉末。熔点:75.9 ℃,蒸气压(mPa, 25 ℃) 5.1×10-1(晶体改性A)、4.7×10-1(晶体改性B),辛醇/水分配系数:Kow logP(25 ℃) 3.9(pH 5.0)、4.0(pH 7.0)、4.0(pH 9.0),相对密度:1.21 (20 ℃),解离常数:pKa 4.44,弱碱。水中溶解度:( mg/L, 25 ℃):20 (pH 5.0)、13 (pH 7.0)、15 (pH 9.0) ;有机溶剂中的溶解度:(g/L, 25 ℃):己烷 26、辛醇 140、乙醇 160、甲苯 440、丙酮 610。水解稳定性:在pH 4~9 (25 ℃)条件下,半衰期DT50>1年。水中光解DT50 21d (蒸馏水),13d(pH7.3)。
02
作用机理
嘧菌环胺属于蛋氨酸生物合成和真菌水解酶分泌抑制剂,通过抑制病原菌细胞中蛋氨酸的生物合成和水解酶活性,干扰真菌生命周期,抑制病原菌穿透,破坏植物体中菌丝体的生长。
03
应 用
应用作物:谷物如小麦、水稻等,设施蔬菜如黄瓜、茄子、辣椒、西红柿、西葫芦等、瓜类如各种瓜,茄果类如草莓、葡萄,果树如苹果、梨等。
防治病害:灰霉病、斑点落叶病、黑星病、褐腐病、网斑病、叶枯病、早疫病、白粉病、稻瘟病等。
开发剂型:40%嘧菌环胺SC、50%嘧菌环胺WDG、75%嘧菌环胺WDG
04
登记情况
中国登记
中国拥有登记较多,原药登记4家,制剂登记有悬浮剂、水分散、可湿性粉剂,复配制剂有与咯菌腈、啶酰菌胺、腐霉利、异菌尿、啶氧菌酯、甲基硫菌灵、戊唑醇、啶菌噁唑等复配。




日本登记
日本登记有50%嘧菌环胺悬浮剂和37.5%嘧菌环胺·咯菌腈悬浮剂。

05
专利情况
化合物专利
1988年,瑞士诺华在中国、美国等32个国家和地区申请了基于嘧菌环胺在内的苯胺嘧啶类化合物专利。
专利名称:苯胺基嘧啶衍生物的制备方法
申请号:CN88106975.2
授权日:1993/09/29
申请日:1988/09/28
失效日:2003/09/28
公开号:CN1032441A
摘要:制备通式I的化合物的方法,其中R1和R2各自为氢,卤素,C1-3烷基,C1-2卤代烷基,C1-3烷氧基或C1-3卤代烷氧基;R3是氢,C1-4烷基或被卤素、羟基或氰基取代的C1-4烷基,环丙基或被1-3个甲基和/或卤素取代的环丙基;R4是C3-6环烷基或被1-3个甲基和/或卤素取代的C3-6环烷基,这些化合物具有有价值的杀菌和杀虫性能。这些新的活性组分可用于预防致植物病微生物或有害昆虫对栽培植物的危害,并控制这些害虫。
晶形专利
1994年,诺华申请了嘧菌环胺的结晶变体、及其制法专利。
专利名称:嘧啶基苯胺的结晶变体、其制法和用途及含它的组合物
申请号:CN94118186.3
授权日:2000/06/28
申请日:1994/11/09
失效日:2014/11/09
公开号:CN1105995A
摘要:(4-环丙基-6-甲基嘧啶-2-基)苯胺的结晶变体B不同于(4-环丙基-6-甲基嘧啶-2-基)苯胺的结晶变体A,它没有晶体成长的趋势。该结晶变体B具有高共晶纯度(含量至少达98%),熔点为73—75℃,用作植物保护组合物的杀霉菌活性成分。该组合物具有高度稳定性,且保持了它们原有的良好悬浮性和分散性。
06
合成路线
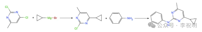
路线一:以2,4-二氯-6-甲基嘧啶(5424-21-5)与环丙基溴化镁(23719-80-4)经亲核取代、胺解反应生成嘧菌环胺,合成路线如下:

路线二:以甲基环丙基酮与乙酸乙酯为起始原料,经缩合、环化反应生成嘧菌环胺,合成路线如下:

07
复配推介
嘧菌环胺的推广方向可为灰霉病,复配对象可选择与异菌尿、啶酰菌胺、腐霉利、氟唑菌酰羟胺、吡噻菌胺、丁子香酚、咯菌腈、菌核净、氟啶胺、福美双、抑霉唑、啶菌噁唑、乙霉威、百菌清、噻菌灵、多菌灵、克菌丹等;为斑点落叶病时可选择与氟环唑、氟硅唑、戊唑醇、代森锰锌等;还可选择与环氟菌胺、螺环菌胺、氰霜唑、苯噻菌胺、稻瘟酰胺、稻瘟灵、异稻瘟净等增加对白粉病、霜霉病、早疫病、根肿病、稻瘟病的防治。
08
前景展望
嘧菌环胺是先正达继嘧霉胺、嘧菌胺之后开发的新型苯胺嘧啶类杀菌剂,其具有相对优异的特性,具有较好的内吸传导性和耐雨水冲刷性,持效期长,且对环境友好,对灰霉病、白粉病、斑点落叶病、叶斑病、稻瘟病等有较好的防效,特别是在低温高湿环境下表现突出。合成方面以环丙甲酮、乙酸乙酯和苯基胍碳酸盐为原料的合成路线,技术路线成熟,合成收率高(可达76.3%),且目前对嘧菌环胺共晶技术的研究较为深入,嘧菌环胺与含酰亚胺或肟官能团的化合物和三聚氰酸、没食子酸等形成共晶,证实了可有效提升嘧菌环胺的产品性能,可提高稳定性、溶解性和降低使用量和对靶标作物的毒性。虽然嘧菌环胺已经在国内推广多年,市场较为是成熟,企业若有意向在深耕现有市场的同时,积极开发新的应用场景、优化合成路线、拥抱共晶等新技术嘧菌环胺未来仍旧有较好的市场空间。

